第一节房地产评估概述
一、土地、土地权利及土地价格
(一)土地及其分类
土地一般是指地球表面的陆地部分,包括内陆水域和滩涂。如果广义地看,土地是指陆地及其空间的全部环境因素,是由土壤、气候、地质、地貌、生物和水文、水文地质等因素构成的自然综合体。土地具有两重性,因为它不仅是资源,也是资产。
土地的供给可以分为自然供给和经济供给两个方面。地球提供给人类可利用的土地数量,叫做土地的自然供给,它反映了土地供人类使用的天然特性,其数量包括已利用的土地和未来可供利用的土地,即后备土地资源。土地的自然供给是相对稳定的,几乎不受任何人为的因素或社会经济因素的影响,因此,它基本上是无弹性的。所谓土地的经济供给,是指在土地的自然供给的范围内,对土地进行了开发、规划和整治,以满足人类不同需求的土地供给。因此可以说,士.地的经济供给是通过人类开发利用而形成的土地供给。因而土地经济供给数量会受人类社会活动的影响。比如,开发新土地、调整用地结构、提高土地集约率等活动都影响土地的经济供给数量。由此可见,土地的经济供给是有弹性的。
土地可以从不同的角度分成很多类别。按土地的经济用途可分为工业用地、商业用地、住宅用地、交通用地、公用事业用地等;按土地的经济地理位置,城市土地分为城市中心区、一般市区、市区边沿区、近郊区、远郊区、边远区等,现实中这种分类形式通常是以土地的等级表现出来的,如城市一级地、二级地等。按土地的所有权归属划分,我国土地所有权分为国家所有和集体所有;按土地的开发程度划分,未开发的土地即“生地”,已经开发可供直接建设的土地即“熟地”,介于生地与熟地之间的“毛地”。
(二)土地的特性
土地的特性可以分为土地的自然特性和经济特性两个方面。
1.土地的自然特性
(1)位置的固定性。土地是不动产,它具有位置上的固定性,不像其他资产可以随便移动,一台机器或一车原材料,当购买者通过交易获得其产权时,便可以将其实物形式带走,而地产却不一样,它不能随着权利、价值的变动而变动其位置。也正是由于这个特性,衍生了土地的其他特性,如质量差异性、区域性等。同时,由于土地的不可位移性,其交易必须以相关的法律制度来予以强制确认,否则就会因其权利与土地实物的空间错位,影响正常的市场交易秩序。
(2)质量的差异性。地球表面地形、气候的千差万别使得每一块土地都有别于其他的土地,不仅受自然环境影响,还要受周围人文环境的影响。土地的这种严格的个体差异性导致了它不可能像其他商品一样在某种程度上具有完全可替代性。土地的位置不同,造成了土地之间存在自然差异,这个差异导致土地级差地租的产生。
(3)不可再生性。土地是自然的产物,是不可再生资源,土地资源的利用只有科学合理,才能供人类永续利用。
(4)效用永续性。其他资产会随着人为的使用或自然力的作用而逐渐从实体上损耗直到灭失。土地虽属于不可再生资源,但却可以反复利用。以前的农用地可能变为现在的城市用地,而以前的城市用地可能随着时代的变迁而变为农用地,但是,不论沧海桑田,土地依然是土地,只要人们注意合理利用,它可以生生不息地充当人类衣食住行的源泉。但是,人类若滥用,则会导致土地质量的变化,土地的沙漠化可能会急剧地缩短土地为人类服役的年限。
2.土地的经济特性
(1)供给的稀缺性。由于土地的自然供给是无弹性的,土地总数量有限,又是不可再生的,而随着人口的增长,人们对生活空间的要求越来越高,对土地的需求越来越大,土地的稀缺性越来越突出。某一地区的某种用途的土地供不应求,形成稀缺的经济资源,形成供求矛盾。土地经济供给的稀缺性,与土地总量的有限性、土地位置的固定性、土地质量的差异性等有关。土地经济供给的稀缺性客观上要求人们集约用地。
(2)可垄断性。在资本主义国家或地区,土地归私人所有,谁拥有某一块地的所有权,就获得了这块土地赋予的一切排他权利,具有这块土地的终身受益权。我国土地归国家和集体所有,任何单位和个人只拥有土地的使用权,国家在出让土地使用权时限定使用年限,便是垄断土地所有权的体现。由于土地具有可垄断性,因此,在土地所有权或使用权让渡时,就必然要求实现其垄断利益。
(3)土地利用多方向性。一块土地的用途是多种的,可以作为农田,也可以建住宅或建写字楼,或者造商场。土地利用的多方向性客观上要求在房地产估价中需要确定土地的最佳用途。
(4)效益级差性。由于土地质量的差异性而使不同土地的生产力不同,从而在经济效益上具有级差性。
(5)政策敏感性。在我国,由于土地所有权国家垄断,因此国家政策对地产价值的影响较大。政府基于公共利益,可以运用行政手段限制某些土地的使用,如城市规划对土地用途、建筑容积率、建筑覆盖率、建筑高度等的规定,又如政府对土地使用权出让底价的限定,直接对土地价格产生影响。
(6)保值增值性。社会进步,人口增长,人们对生活空间要求更高,对土地的需求量会日益增加,但土地总面积是固定的,所以地产的价格必然会不断上涨,地产有保值增值作用。但我国房地产中地产价格是有限期的土地使用权价格,随着使用期的耗用,土地使用权价格会逐渐下降,但只是对于单位或个人而言的,对国家(土地所有者)而言,其所有权价格应该是上升的。从国家整体和长远来看,土地的价值应该是不断增加的。
(三)土地权利
土地权利不是孤立的一种权利,而是一个权力束,这个权力束主要包括土地的所有权、使用权、租赁权、抵押权等等。
在我国,城市土地的所有权属于国家,农村和城市郊区的土地,除由法律规定属于国家所有的以外,属于农民集体所有。集体土地不能进人房地产市场流转,国有土地所有权也不能进入房地产市场流转,在我国实行国有土地所有权与使用权相分离的制度,土地使用权可以拥有和转让,因此地价一般是土地使用权的价格,土地使用权价格可因土地使用年限的长短区分为各种年期的使用权价格,其出让的最高年限由国务院确定。
土地使用权出让是指国家以土地所有者的身份将土地使用权在一定年限内出让土地使用者,并由土地使用者向国家支付土地使用权出让金的行为。土地使用权出让可以来取协议、招标、拍卖和挂牌等方式。土地使用权出让最高年限按下列用途确定:①居住用地70年;②工业用地50年;③教育、科技、文化、卫生、体育用地50年;④商业、旅游、娱乐用地40年;⑤综合或者其他用地50年。
土地使用权转让是指土地使用者将土地使用权再转移的行为,包括出售、交换和赠与。凡未按土地使用权出让合同规定的期限和条件投资开发、利用土地的,土地使用权不得转让。土地使用权转让时,土地使用权出让合同和登记文件中所载明的权利、义务随之转移。
土地使用权出租是指土地使用者作为出租人将土地使用权随同地上建筑物、其他附着物租赁给承租人使用,由承租人向出租人支付租金的行为。未按土地使用权出让合同规定的期限和条件投资开发、利用土地的,土地使用权不得出租。
土地使用权抵押时,其地上建筑物、其他附着物随之抵押。地上建筑物、其他附着物抵押时,其使用范围内的土地使用权随之抵押。
(四)土地价格
马克思指出,地价不是土地的购买价格,而是土地所提供的地租的购买价格,因此地价是地租的资本化。没有开垦的土地是自然物,不是劳动产品,没有任何价值。因此,地价具有以下几个方面的特征:
(1)地价是地租的资本化。地价与一般商品的价格不同,一般商品是劳动的产物,其价格围绕价值上下波动,价格由生产成本和利润构成。土地则不完全是劳动的产物,因此,地价并不是土地的购买价格,而是地租的资本化。
(2)地价是权益价格。由于地产位置不可移动,因此地产的买卖、抵押等并不能移转地产的物质实体本身,而是转移与土地有关的各种权益,地产的权益有多种表现形式,如所有权、使用权、抵押权、租赁权等,因此,发生经济行为的地产转移方式不同,形成的地产权益不同,其权益价格也不相同,评估时必须仔细考虑。
(3)土地具有增值性。由于土地价格形成的特殊性,其价值的变化也具有独特性。地价受多种因素影响,由于土地可永续利用,随着地块周围环境因素的变化及经济的增长,除个别情况外,随着时间的流逝,一般情况下,土地往往具有自然增值的属性。
(4)地价与用途相关。一般商品的价格由其生产成本、供给和需求等因素决定,其价格一般并不因使用状况不同而产生差别。但是,同样一宗土地,在不同的规划用途下,其使用价值是不一样的,土地价格与其用途相关性极大。因此,在市场经济条件下,一宗土地如果合法地用于经营商业比用于住宅更有利,其价格必然由商业用途决定。
(5)地价具有个别性。由于土地的个别性,没有两宗土地条件完全一致。同时土地价格决定中,交易主体之间的个别因素也很容易起作用。因此,地产价格形成具有个别性。由于土地位置的固定性,其交易往往是单个进行,因此形成的地产市场是一个不完全竞争市场。土地不像一般商品,可以开展样品交易、批量交易。每一宗土地交易都具有个别性。
(6)地价具有可比性。地产价格尽管具有与一般商品不同的许多特性,但并不意味着其价格之间互不联系。事实上,人们可以根据地产价格的形成规律,对影响地产价格的因素进行比较,从而能够比较地产的价格。
二、建筑物
建筑物是指人工建筑而成的东西,包括房屋和构筑物两大类。房屋是指能够供人居住、生产、储藏物品或进行其他活动的工程建筑,房屋一般由地基、墙、门、窗、柱和屋顶等主要构件组成。构筑物则是除房屋以外的各种工程建筑,人们一般不直接在其内部进行生产和生活活动,如桥梁、水井、隧道、水坝、烟囱、水塔、道路等。从资产评估的角度看,建筑物不仅包括了房屋和构筑物,而且还包括了与其不可分离的部分及其附带的各种权利。
建筑物的建筑结构与其建造成本有着十分密切的关系,建筑物依据其主要承载结构所用材料一般可划分为五类:①钢结构;②钢筋混凝土结构;③砖混结构;④砖木结构;⑤简易结构。
土地是建筑物不可缺少的物质载体,任何建筑物都不能离开土地而独立存在,土地的区位决定了建筑物的位置,直接影响到建筑物的价格。同时建筑物又是土地的主导产品,土地的用途、使用强度等都要通过房屋建筑物表现出来。因此,它们共同形成了房地产,并形成了许多互相影响、相互制约的关系和一系列明显的特征。
三、房地产及其特性
房地产是土地和房屋及其权属的总称。土地是房屋不可缺少的物质载体,任何房屋都不能离开土地而独立存在。同时,土地的区位决定了房屋的位置,直接影响到房地产的价格,因此,在房地产估价中,通常评估房地产的整体价值。当然,在某种情况下也可以分别评估房产的价值和地产的价值。
房地产一般具有如下特性:
(1)位置固定性及区域性。由于房屋固着在土地上,因此房地产的相对位置是固定不变的。可以说,地球上没有完全相同的房地产,即使有两宗房地产的地上建筑物设计、结构和功能等完全相同,因土地位置的差异,也会造成价格的差异。由于土地位置的固定性,房地产还具有区域性的特点。一个城市房地产的供给过剩并不能解决另一个城市供给不足的问题。例如,海南省大量空置的房地产并不能解决上海市房地产需求不足的问题。房地产供求关系的地区差异又造成区域之间房地产价格的差异性。
(2)长期使用性。由于土地可以永续利用,建筑物也是耐用品,使用年限可达数十年甚至长达上百年,使用期间即使房屋变旧或受损,也可以通过不断的翻修,以延长其使用期。
(3)大量投资性。房地产生产和经营管理要经过一系列过程:取得土地使用权、土地开发和再开发、建筑设计和施工、房地产销售等环节,都要投人大量的资金。如大城市地价租屋的建筑成本都相当高,无论开发者和消费者,一般都难以依靠自身的资金进行房地产投资,因此,金融业的支持和介入,是发展房地产业必不可少的条件。
(4)保值与增值性。一般物品在使用过程中由于老化、变旧、损耗、毁坏等原因,其价值会逐渐减少。与此相反,在正常的市场条件下,从长期来看,土地的价值呈上升走势。由于土地资源的有限性和固定性,制约了对房地产不断膨胀的需求,特别是对良好地段物业的需求,导致价格上涨。同时,对土地的改良和城市基础实施的不断完善,使土地原有的区位条件改善,导致土地增值。
(5)投资风险性。房地产使用的长期性和保值增值性使之成为投资回报率较高的行业,同时房地产投资风险也比较大。房地产投资的风险主要来自三个方面:其一,房地产无法移动,建成后又不易改变用途,如果市场销售不对路,很易造成长期的空置、积压。其二,房地产的生产周期较长,从取得土地到房屋建成销售,通常要3~5年的时间,在此期间影响房地产发展的各种因素发生变化,都会对房地产的投资效果产生影响。其三,自然灾害、战争、社会动荡等,都会对房地产投资产生无法预见的影响。
(6)政策限制性。房地产市场受国家和地区政策影响较大。城市规划、土地利用规划、土地用途管制、住房政策、房地产信贷政策、房地产税收政策等都会对房地产的价格产生直接或间接的影响。
(7)关联性(房地不可分割性)。房产不能独立与地产而存在,否则就成了“空中楼阁”;地产上如果没有房产,其使用价值也会受到显著的影响。同时,即使是质量、规格、设计风格等完全相同的房产,也会由于其所依附的土地的差别而使其评估价值出现很大的差异。因此,在评估一宗房地产时,必须把房产和地产紧密结合起来,高度重视其关联性对评估价值的影响。
(8)价格互动性。由于房产和地产的不可分割性造成了房价影响地价,地价影响房价的必然联系。房价应是在特定地产上的房价,地价也应是在特定房产下的房产,房产和地产的这种价格互动性决定了在评估房地产时必须遵循房地分估合一的原则。
四、房地产评估的原则
所谓房地产评估,是专业评估人员为特定目的对房地产的特定权益在某一特定时点上的价值进行估计。由于土地具有固定性、稀缺性、个别性等特性,房地产市场是一个不完全竞争即不充分市场。房地产评估除了要遵循资产评估的一般原则以外,还必须遵循符合其自身特点的一些特殊原则,这些特殊原则主要表现在以下几个方面:
(一)最有效使用原则
土地及其建筑物可以有商业、工业、住宅等多种用途。但同一房地产在不同用途状况下,其收益并不相同。房地产权利人为了获得最大收益总是希望房地产达到最佳使用。但是房地产的最佳使用必须在法律、法规允许的范围内,必须受城市规划的制约。在市场经济条件下,房地产用途可以通过竞争决定,使房地产达到最有效使用。因此评估房地产价值时,不能仅仅考虑房地产现时的用途和利用方式,而是结合预期原则考虑何种情况下房地产才能达到最佳使用及实现的可能,以最佳使用所能带来的收益评估房地产的价值。
(二)不完全可替代性原则
房地产商品之间存在可替代关系,例如位于同一居民住宅区内的两宗房产,在面积功能大致相同的情况下,就能够互为替代。但是,由1于房地产商品特有的区域性和极强的个体差异性,决定了房地产商品不可能像其他商品那样具有近似完全可替代性,也就是说,房地产商品之间只存在不完全可替代性。可替代性表明运用市场法的可能,不完全可替代则为实施市场法指明了比较的方向。
(三)合法原则
合法原则是指房地产评估要在法律规定的条件下进行。在分析房地产的最有效使用时,必须根据城市规划及有关法律的规定,依据规定用途、容积率、建筑高度与建筑风格等确定该房地产的最有效使用。测算房地产的纯收益时,其经营用途应为合法途径,比如不能用作赌场。城市规划为居住用地的,评估该地块价值时,必须以居住用地作为其用途,不能用作工业用地或商业用地。测算房地产'的纯收益吋,不能以临时建筑或违章建筑的纯收益作为测算依据。
(四)房地分估合一原则
房地产评估的房地分估合一原则是指评估时要针对房产和地产的不同特征分别进行分析评估,然后把二者进行综合分析,最终确定房地产的整体价格。房产和地产的不同特征决定了在对它们进行评估时必须采取不同的方法和程序,因此实行房地产分估合一有利于深人分析各自的价格影响因素,从而使评估的房产和地产的价格更为精细合理。同时,房产和地产具有价格互动性,并且在实际交易活动中,房产和地产往往是一起转让的,地价寓于房价之中并通过房价来实现,因此,进行房地综合计价又是必需的。房地综合计价必须以房地分估的结果为基础进行分析和调整。
(五)地域原则
地域原则是指在进行房地产评估时应该考虑不同地区、城市间经济地理环境不同,房地产经济价值不同而合理确定符合本地区、本城市宏观经济环境的评估价格。例如,质量和功能相同的房地产在北京和石家庄其价格会大相径庭,这就是房地产价格的地域差异。房地产评估应在尊重经济现实的前提下进行估价,脱离本地区、本城市的经济现实而评估的价格是难以实现的,从而也是毫无意义的。
五、房地产评估的一般程序
房地产评估的一般程序就是要明确在接受一宗具体的房地产评估业务时,应该先做什么,后做什么。房地产评估程序应该反映整个评估过程中各项工作之间内在的逻辑联系。一般而言,房地产评估应该按照以下程序进行:
(一)明确评估基本事项
在房地产评估时,必须了解评估对象前基本情况,这是拟订房地产评估方案、选择评估方法的前提。评估基本事项包括以下内容:
(1)明确评估目的。不同的评估目的,其所评估的价值的内涵也不完全相同。如土地使用权出让评估、房地产转让价值评估、房地产租赁价值评估、房地产抵押评估、房地产保险评估、房地产课税评估、征地和房屋拆迁补偿评估等等,因此,在受理评估业务时,通常由委托方提出评估目的,并将评估目的明确地写在评估报告上。
(2)了解评估对象。即对被估房地产的实体和权益状态进行了解。对房地产的实体了解包括:土地面积、土地形状、临路状态、土地开发程度、地质、地形及水文状况:建筑物的类型、结构、面积、层数、朝向、平面布置、工程质量、新旧程度、装修和室内外的设施等。对房地产权益状态的了解包括:土地权利性质、权属、土地使用权的年限、建筑物的权属、评估对象设定的其他权利状况等。
(3)确定评估基准日。所谓确定评估基准日,就是确定待估对象的评估时点,通常以年、月、日表示。由于房地产价格经常处于变化之中,而且房地产价格随其价格影响因素的变化而变动,因此,必须事先确定所评估的是某一具体时点的价值。
(4)签订评估合同。在明确评估基本事项的基础上,双方便可签订评估合同,用法律的形式保护各自的权益。评估合同是委托方和受理方就评估过程双方的权利和义务达成的协议,包括对评估对象、评估目的、评估时点、评估收费、双方责任、评估报告等事宜的约定。评估日期一般也要写入评估项目委托合同中,一旦确定,评估人员必须按期保质完成。评估合同的内容要明确规定双方的权益和应尽的义务,以及对违反合同的处理办法。一旦合同签订后,任何一方未经对方同意不得随意更改合同内容,如有未尽事宜,需通过双方协商解决。
(二)制定评估工作计划
制定工作计划,就是对评估工作日程、人员组织等做出安排。在对被评估对象有一基本了解之后,就可以对资料的收集、分析和价值的测算等工作程序和组织做出科学的安排。工作计划的合理制定,有助于提高工作效率相评估质量。
(三)实地勘察与收集资料
虽然受理评估业务时评估师已通过对方提供的资料大体了解到评估对象的基本状况,但此时评估师仍需亲临现场勘察。因为评估需要的资料和数据十分广泛,委估方提供的资料有限,并不能完全满足评估工作的需要。实地勘察是房地产评估工作的一项重要的步骤。房地产市场是地域性很强的市场,房地产交易都是个别交易,非经实地勘察难以对房地产进行评估。实地勘察就是评估人员亲临房地产所在地,对被估房地产实地调查,以充分了解房地产的特性和所处区域环境。实地勘察要做记录。
评估资料的收集在评估过程中是一项耗时较长、而且艰苦细致的工作。其内容涉及选用评估方法和撰写评估报告所需的资料数据,包括:评估对象的基本情况;有关评估对象所在地段的环境和区域因素资料;与评估对象有关的房地产市场资料,如市场供需状况、建造成本、租售价格等等;国家和地方涉及房地产评估的政策、法规和定额指标。获得上述资料的途径除了委托方提供外,主要通过现场的勘测和必要的调查访问。
(四)选择评估方法并测算被估房地产价值
在调查研究和资料分析的基础上,便可根据选定的评估方法,进行价值测算。评估的基本方法有:成本法、市场法和收益法。由这三种基本评估方法所派生的其他评估方法,如剩余法、路线价法、长期趋势法等,也是目前常用的评估方法。由于被估房地产的性质差异和资料取得的难易,并非每一种评估方法都适用于各类房地产。为求得一个公平合理的价值,一般以一种评估方法为主,同时以另一种或几种评估方法为辅,以求互相对照和检验修正。
无论采用何种方法,评估师应对收集到的数据、参数进行认真地分析检验,特别是对一些有变化幅度的参数,如市场法中的修正系数,收益法中的资本化率,成本法中的土地开发成本、房屋新旧程度等等,虽然都有一些经验参数可供参考,但最终确定还要依靠评估师正确判断和选择。此时评估师的经验对计算结果具有重要的影响。
(五)综合分析确定评估结果并撰写评估报告书
同一宗房地产运用不同评估方法评估出来的价值往往不一致,需要进行综合分析。综合分析是对所选用的评估方法、资料及评估程序的各阶段,做客观的分析和检查。此时应特别注意以下几点:所选用的资料是否适当;评估原则的运用是否适当;对资料分析是否准确,特别是对影响因素权重的赋值是否恰当。对于采用不同评估方法得到的评估值,可以采用简单算术平均值,也可以采用加权平均值作为最后评估值。
评估报告是评估过程和评估成果的综合反映,通过评估报告,不仅可以得到房地产评估的最后结果,还能了解整个评估过程的技术思路、评估方法和评估依据。
第二节不动产评估的理论基础
一、地租理论
(一)地租的概念
地租是土地承租人为了得到使用自己资本的生产经营场所(土地),要在一定期限内按契约规定,支付给他所使用土地的所有者一个货币额。不管这个货币额是为耕地、建筑地段,还是为矿山、渔场、森林等支付,通称为地租。土地承租人要支付地租,但并不因此而减少他的平均利润。地租是土地所有权得以实现的经济形式,是社会生产关系的反映。
(二)地租的形成
投入土地的资本和劳动,是由陆续使用的等剂量构成的。在陆续投入的过程中,陆续使用的各个等剂量所产生的报酬会出现递增(aef)、递减(a'e,fg)、或者增减交替(a'e-ef-fg-gh-hc)的过程。我们把所产生的报酬刚好与耕作者的生产费用(一个剂量加上平均利润)相等的这一剂量,称为边际剂(Δd)。使用这一剂刚好使耕作者的资本和劳动获得一般报酬(dc),而没有剩余。它所产生的报酬称为边际报酬(dc)。投入土地的总剂量数(od)乘以边际报酬,得到所投入资本和劳动的一般总报酬(odcbo)。所投入资本和劳动产生的总报酬[odchgfea'(a)bo],超过这个一般总报酬,超过的部分[bchgfea'(a)b]就是土地的剩余生产物,在一定的条件下转变为地租。如图表4-4所示。

二、土地区位理论
(一)土地区位的概念
区位一词,源于德文复合词standort,1886年英语译为location,原意为“位置"、“场所”、“立地”、“定位”等。1937年,杜能(J.H.V.Thünen)的《孤立国》一书译成中文时,开始使用该词,并沿用至今。
土地区位是一个综合的概念,除解释为陆地上某一地块的空间几何位置外,还强调各种土地自然要素与社会经济要素之间相互作用所形成的整体组合效应在空间位置上的反映。换言之,土地区位是自然要素区位、经济要素区位和交通要素区位在空间地域上有机组合的具体表现。
土地自然要素区位主要指土地的自然地理位置。它包含两层含义:⑴该土地位置上地貌、地质、水文、气候等自然要素的组合特征;⑵该土地位置与周围陆地、山川、河湖、海洋等自然环境的空间位置关系。
土地经济要素区位指土地人类社会经济活动过程中所表现的人地关系和社会物化劳动投入。为使土地更好地发挥生存、工作、游憩和交通四大功能,人类不断投入技术、资金和劳动对土地进行加工改造。例如,在城镇内平整场地、修筑地基、道路、给排水、供电、通讯、供热煤气等工程性基础设施以及建筑厂房、商店、办公楼等服务设施中,均凝结了大量的人类劳动投入,使土地经济要素区位大大提高。从结果来看,土地经济要素区位主要指不同区域土地之间的经营、社交、工作、购物、娱乐等多方面社会经济活动中的相互关系。它影响土地的利用布局和发展方向。
土地交通要素区位指区域土地或某地段与交通线路和设施的相互关系,具体由距离、耗时、费用三方面来反映。它一方面影响土地上人流、物流、信息的移动和运输成本,另一方面影响社会经济活动中人与人、物与物、人与物之间的交往接触机会、频率和便利程度。因此,经济要素区位产生的影响能否转化为实质性的效益就受到交通要素区位的制约。此外,它的优劣还影响到土地聚集效益、市场演变、结节点产生及扩大等。
以上三种区位有机联系、相辅相成,共同作用于地域空间,形成土地区位的优劣差异。可见,土地区位有其特定的含义。
(二)区位理论
区位理论是通过地球表面的几何要素(点、线、面)及其组合实体(网络、地带、地域类型、区域),从空间或地域方面研究自然现象、社会现象和经济现象,是关于人类活动特别是经济活动的空间分布及其在空间中的相互关系的学说。
土地区位理论主要研究一定经济活动为什么会在特定的土地区域内进行,一定的经营设施为什么会建立于特定的土地区域之内,一定的土地收益为什么会与特定的区块或地段相联系等。土地区位理论是在大量的区位选择实践研究基础上产生的,是农业区位论、工业区位论、中心地理论、市场区位论、休假地区位论及总体空间结构理论等的基础,其基本目标是寻求人类在土地开发利用活动中从空间上所表现出来的规律,亦即“空间法则”。它是土地利用规划和地价评估的重要理论依据。
(三)城市土地区位的决定因素
城市土地在利用过程中,有别于农业用地的主要特性是,区位因素起着特殊重要的作用。城市土地区位包含两种含义:(1)外部的城市区位,即某一城市土地位于各种大环境中的位置,如沿海或内陆等;(2)城市内部具体地段的微观区位,如市中心或市郊等。城市土地区位可分为几个方面,主要包括商业用地区位、住宅用地区位和工业用地区位等。
1.商业用地区位的决定因素。
商业用地区位的决定因素包括:
(1)商业集聚条件。商业集聚效益主要来源于它的互补性。在一个中心商业区里,通常集中众多不同类型的商店及相应的服务设施。由于商品众多,服务项目齐全,可供选择余地大,因而具有很大的吸引力。
(2)人流量与人口条件。人流量指单位时间内的顾客数量及购买商品的顾客数量;人口条件主要指区域的人口规模、年龄结构、收入水平等,这决定顾客购买商品的结构和购买能力。
(3)道路交通条件。一定的交通条件是商品运输和吸引顾客的基础。交通便利程度表明了商业区位的经济可达性。
(4)环境条件。主要包括自然环境和人文环境两部分。自然环境如绿地面积、休息场所等;人文环境如民俗习惯、宗教信仰等对购买商品的选择都有影响。
(5)地块个别条件。如临路状况、临街深度、宽度、容积率限制、地块形状等对商业区位选择也有重要作用。
除上述所列因素外,社会政治条件和城市性质,如政治中心、旅游城市等也是重要的商业用地区位因素。
2.住宅用地区位的决定因素。
住宅用地区位的决定因素包括:
(1)环境条件。包括社会环境、经济环境、自然环境和人文环境等。社会治安状况好、生活服务设施齐全、自然环境优美、阳光充足、空气润洁、无污染的地块总是人们趋向居住的地方。民族居住习惯和风俗、自然地形的变化也对住宅用地区位选择有影响。
(2)交通条件。主要影响居民的通行与信息传递。
(3)基础设施条件。包括供水、排水、煤气管道、电力供应等。
(4)人口条件。指人口密集度及人口的收人水平等。人口密度适中是一般收入水平者所趋向的居住地点;而收入水平高的阶层则往往趋向于郊外幽静的独户住院。
3.工业用地区位的决定因素。
工业用地区位的决定因素包括:
(1)自然环境条件。主要包括工程地质、水文地质、坡度、坡向、洪水淹没、水流流向、风向、环境保护限制等因素。任何工业用地区位选择都离不开自然环境条件。例如,工业地基承载力一般不应小于1.5〜2.5公斤/平方厘米;工厂用地标高至少应高出计算最高洪水位的0.5米以上;工厂用地应尽可能布置在居住区的下风向等。
(2)交通运输条件。主要包括道路通达度和对外交通便利度两个因素,是工业生产的必要条件。
(3)基础设施条件。主要包括供水、邮电、通讯等因素。
(4)集聚规模条件。适当集中的工业区规模,便于进行生产协作,有利于原料的综合加工和废物的集中处理,能合理经济地使用各种市政公用设施,也有利于节约用地。因此,集聚存在着很大的区位效益。
(5)矿藏原材料条件。一般来说,重工业等需要大量原材料运输的工业,宜分布在靠近原材料的地方。
此外,随着社会经济的发展,旅游用地、度假区用地、金融业用地、高新技术产业用地等区位因素研究也日益受到重视,由于各种用地的区位因素选择的基本原理是相似的,因而不再一一罗列。这种基本原理主要表现为:各个区位因素都是把客体引向一定区位的作用力,每一种力都会产生某一方面的经济效果或社会效果,或两者兼而有之。某一客体的最终区位是由有关的作用力相互作用、互有消长而产生的综合效果决定的。衡量这种综合效果主要有以下标准:最低运输费用和最低生产成本;最大市场区域和最大利润;最集约、最科学合理的土地利用;最好地利用社会经济基础,力求获得最好的生产、生活条件和适宜的环境。
(四)土地区位理论在不动产估价中的应用
由于城市土地收益是由土地区位因素所决定的,在以货币形式直接测算每块土地的收益较为困难的情况下,可从土地区位因素分析人手,推论土地等级的高低。例如在城镇土地定级中,选择影响城镇土地等级的区位因素,对每个因素按影响程度大小确定权重,在划定的土地单元内按统一标准计算因素指标对应分值,然后按一定公式,把各单元内诸因素分值转换为单元总分,按总分高低划分土地等级,其总分计算的数学表达式如下:

式中:P为总分
n为土地区位因素的数目
Wi为各因素权重
Fi为某因素分值
城镇土地定级区位因素选择,如图表4-5所示:

在城镇地产市场尚欠发育,尤其是中小城镇可直接提供地价测算的样本极为有限,且分布又不均匀的情况下,可以应用土地区位理论推估地价。其理论依据和逻辑推理是这样的:土地定级分值是影响土地区位的综合量度,它充分反映了土地区位的差异;而地价,尤其是基准地价同样也反映了土地区位状况。土地定级分值越髙,则土地区位越好,地价自然也就越高,反之亦然。换句话说,地价及土地定级分值均反映了土地区位状况,并存在着互为因果的关系。因此,通过一定数最的调查样点的地价测算值,建立地价与土地定级分值之间的统计模型,即可推算其他地块的基准地价。建模时采用一系列线性、非线性模型进行拟合分析,根据浙江农业大学土地科学系几年来的实践,通常以指数模型最为理想,模型关系如下:

式中:y为单元地价
x为土地定级分值
b为回归系数
(五)区位地租模型
由于土地区位不同,土地将表现为不同的使用价值和价值。这样,区位优劣差异就成为衡量地租的标尺,而地租则成为土地使用价值的指示器。其连续反应是促使土地使用者在选用土地时,必须把自己所能在该土地上获得的区位收益与所需支付的区位地租进行比较,从而使地租成为自发调节土地用途的经济杠杆,最终形成土地收益和地租都趋向最高用途水平的合理空间结构。
1826年,杜能在"孤立国”理论中,根据假设一片平原地区,一个消费中心,均等土地质量,则相对于消费市场不同距离位置上的同样大小的土地具有不同价值的情况,提出了理想的区位地租模型,即:
R=E(p-a)-E·f·k
式中:R为单位面积上的地租
E为单位面积上农作物的产量
P为单位产品的市场价
f为单位产品运输单位距离的费用
a为单位产品的生产成本
k为生产地与消费地之间距离
20世纪60年代,美国土地经济学家阿兰索(W.Alonso)在杜能研究的基础上,把地租理论应用到城市土地,并引入区位边际均衡和区位边际收益等空间经济学理论,提出以竞标地租(bidrent)观点为内核的区位用必然展开激烈竞争,并通过土地供给,以土地需求的市场价格变化和自身能从土地上获得的经济利益来决定各自活动的最佳区位,以致形成地租和地价随着与市中心距离的加大而逐渐降低,城市土地利用呈同心圆分布。高级商服(金融、事务所等)可以支付高于其他任何活动的地租,故其用地位于市中心区,向外依次是商业服务业、工业、住宅和郊区农业用地。城市地租曲线与同心圆土地利用模式,如图表4-6所示:

三、不动产价格体系
(一)土地价格体系
按照不同的作用和标准,可以划分出多种土地价格。
1.公平市场价格、非公平市场价格。
公平市场价格和非公平市场价格均是地产在市场交易中实际成交的价格,又可称为市场交易价。其不同之处在于:公平市场价格指的是在公开市场条件下的交易价;非公平市场价格指的是在非公平市场上的交易价,交易双方地位不对等。最为公平的市场价格即市场价值。
2.土地所有权价格、土地使用权价格。
土地所有权价格是买卖土地所有权的价格,是无限年期地租的折现值。土地使用权价格是一定年期土地使用权的价格,是若干年期地租的折现值。在国家(我国)出售土地使用权时,土地使用权价格又可以称为土地出让金。土地所有权价格和土地使用权价格在数量上的差异,随土地使用权年限的增加而缩小。
3.一级市场价格、二级市场价格。
目前我国的城市地产市场按土地使用权流转方式,可划分为一级市场和二级市场。一级市场称政府批租市场,政府以土地所有者的身份将土地使用权在一定年限内让与土地使用者,并由土地使用者向政府支付土地使用权出让金。一级市场是政府垄断市场,与其相对应的价格包括基准地价、标定地价、土地使用权出让底价等。二级市场是土地使用权的转让、出租、抵押市场的总和,是竞争性市场。虽然不同用途的土地经营者必须严格服从城市规划和政府关于特定土地的用途规定,但同种用途土地市场上的经营者可以在国家法律规定的范围内充分竞争。二级市场中的土地使用权转让,是指土地使用者将土地使用权再转移的行为。与其对应的价格包括转让价格、出租价格等。
(1)基准地价。基准地价是各城镇在一定时期、一定地域内,根据用途相似、地段相连、条件相近的原则划分地价区段,然后估算出每个地价区段的平均水平。它是由政府部门组织专家,以土地定级为基础,以土地收益为依据,以市场交易资料为参考而估测评定的,是以土地用途、级别或用地条件为划分标准估算出的土地使用权平均单价。国土资源部颁布的《城镇土地估价规程》中将基准地价定义为:“是对城镇各级土地或均质地域及其商业、住宅、工业等土地利用类型评估的土地使用权单位面积平均价格”。基准地价评估是以城镇整体为单位进行的。由定义中可以看出:①基准地价是一个区域性的平均地价,它可以是级别或区段的平均地价,也可以是路段的平均值;②基准地价是各类用地的平均地价,即用地条件相近的区域中商业用地、住宅用地、工业用地的平均地价;③基准地价是政府在一定时期内评估的覆盖全市(镇)的土地使用权价格;④基准地价是单位土地面积的地价。
(2)标定地价。标定地价是指在一定时期和一定条件下,能代表不同区位、不同用途地价水平的标志性宗地的价格。标定地价评估可以以基准地价为依据,根据土地使用年限、地块大小、形状、容积率、微观区位等条件通过系数修正进行评估,也可用比较法、收益法、剩余法等方法评估。同样,从定义中可以看出:①标定地价是政府公告的具体地块的地价,即宗地地价;②在一般情况下,标定地价不进行大面积的评估,只是在土地使用权出让、转让、抵押、出租等市场交易活动或进行股份制企业改制时才进行评估;③标定地价是确定土地使用权出让底价的参考和依据。
(3)土地使用权出让底价。土地使用权出让底价,是政府根据正常地产市场状况下宗地或地块应达到的地价水平确定的某一宗地或地块出让时的最低控制价格标准。出让底价一般依据基准地价或标定地价,并考虑地产市场的发展状况而定。它也是土地使用权出让时政府首先出示的待出让土地或地块的最低地价(标价)的依据和确认成交地价(或出让金)的基础。
(4)转让价格。转让价格是土地使用者将已取得的土地使用权再转让(包括出售、交换和赠与)给他人的价格。由于转让是土地使用者之间的交易,转让价格是由交易双方决定的。
(5)出租价格。地产出租价格亦称土地使用权租金价格,其价格表现有两种形态:①土地使用者之间所形成的租金价格,指土地使用者将获得的土地使用权出租给承租人,由承租人向出租人支付的租金价格。②国家与土地使用者之间形成的租金价格,在我国一般表现为土地使用费,若以年为单位收取,即为年地租。
4.课税价格、征用价格、抵押价格。
课税价格是政府课征与土地价值有关的税(比如国外的地价税)时,所确定的土地价格。征用价格是政府征用农村集体所有的土地、用地人合法占有的土地时,向土地所有者或土地使用者支付的货币额(或等量价值物)。抵押价格是以土地为抵押担保物贷款时,贷款人确定的土地抵押物价值,一般为市场价值的6〜8成。
5.总价格、单位价格、楼面地价。
总价格是某一定范围面积土地的总价值。单位价格是上述总价格与土地面积的比值,即单位面积土地价格,简称为单价。楼面地价是单位建筑面积地价,它等于土地总价格除以建筑总面积,或等于土地单价除以容积率。比如,有面积均为1000平方米的甲、乙两宗土地,土地单价均为700元/平方米。甲的容积率为3,可以建设3000平方米的建筑物,每平方米建筑物售价为1200元;乙的容积率为2,可以建设2000平方米的建筑物,每平方米建筑物售价为1250元。甲、乙的楼面地价分别为233.3元/建筑平方米、350元/建筑平方米,甲的每平方米建筑物价格1200元中有233.3元是地价,乙的每平方米建筑物价格1250元中有350元是地价。在现实生活中,楼面地价往往比土地单价更能反映土地价格水平的髙低。
6.评估价格。
评估价格是具备价格评估资格的估价人员,运用科学的方法和技术手段,遵照有关的法律规定和评估规则,所确定的土地价格。前面所讲的基准地价、标定地价就属于评估价格。
(二)房屋建筑物价格体系和不动产价格体系
在不动产业务中,所谓房价,一般不仅是房屋建筑物价格,而且还隐含地价。所以,通常所说的房价即不动产价格。基于此,这里仅介绍不动产价格体系。像土地价格一样,不动产价格可以按照用途,分为住宅价格、写字楼价格、商业楼价格、工业厂房价格等,还可以分为市场价值、市场价格、总价格、单位价格、课税价格、征用价格、抵押价格、评估价格等。这里主要介绍其他一些类型。
1.商品房价格、经济适用住房价格。
商品房价格就是不动产的市场价格,由完整的土地价格和建筑物价格构成。商品住房价格是向高收入阶层出售住房的市场价格。以商品房价格购买的不动产,包括建筑物所有权和若干年的土地使用权。
经济适用住房价格是向中、低收入阶层出售的(经济适用)住房价格,它是由建筑物价格和不完全土地价格构成。具体包括:(1)征地及拆迁补偿安置费;(2)勘察设计及前期工程费;(3)住宅建筑及设备安装工程费;(4)小区内基础设施和非经营性公用配套设施建设费;(5)贷款利息;(6)税金;(7)以上述(1)〜(4)项费用之和为基数1%〜3%的管理费;(8)3%以内的利润。以经济适用房价格购买的不动产包括建筑物所有权和划拨土地使用权。
2.标准价、成本价。
标准价是以城镇中低收入职工家庭经济承受能力确定的公有住房出售价格,它以负担价和抵交价之和测定。不同的买房职工还可以享受不等的工龄折扣,以及现住房折扣、一次性付款折扣。以这种价格购买的住房,包括划拨土地使用权和部分建筑物所有权(与政府按份共有的房屋所有权)。标准价是实施成本价的一种过渡价格形式。
成本价是向中低收入阶层按优惠的不动产开发成本出售住房的价格。经济适用住房价格也是成本价的一种形式。国家新开发的安居住房成本价包括:(1)征地及拆迁补偿安置费;(2)勘察设计及前期工程费;(3)住宅建筑及设备安装工程费;(4)小区内基础设施建设费和非经营性公用配套设施建设费;(5)贷款利息;(6)税金;(7)以上述(1)〜(4)项费用之和为基数1%〜3%的管理费。现有公有住房的成本价包括:(1)征地及拆迁补偿安置费;(2)勘察设计及前期工程费;(3)住宅建筑及设备安装工程费;(4)小区内基础设施建设费(非经营性公用配套设施建设费是否列入成本由各地政府决定);(5)贷款利息;(6)税金;(7)以上述(1)〜(4)项费用之和为基数1%〜3%的管理费。现有公有住房出售时也扣减工龄折扣。以成本价格购买的不动产,包括建筑物所有权和划拨土地使用权。
四、不动产价格的影响因素
影响不动产价格的因素很多,这些因素相互影响作用于不动产价格。各种因素对不动产价格的影响是不同的,有的因素有利于提髙不动产价格,有的因素则起相反的作用。同时,不同的因素对不动产价格的影响程度也不尽相同,有的影响力较大,有的则较小,甚至没有影响。即使同一因素,也会由于不动产类型的不同而产生不同的影响。此外,随着时间的变化、地区的不同或者不动产类型的不同,影响不动产价格的因素也会发生变化。正是因为这样,在进行不动产价格评估时,应明确把握各种影响不动产价格的因素,充分调査和分析过去的变化、现在的状态及将来的趋势,并研究分析各因素之间的相互关系,才能正确地评估出不动产的价格。
影响不动产价格的因素多且复杂,通常需要进行归纳分类。按影响因素的属性,可分为自然(物理的)因素、社会因素、经济因素和行政因素四大类;按因素对不动产价格的影响特性,可分为一般因素、区域因素和个别因素三大类。这里着重介绍后一种分类方法中的各类影响因素,因为这种分类方法是采用市场比较法进行对比分析影响因素时通常采用的分类方法。
(一)一般因素
一般因素是指影响不动产价格的一般、普遍、共同的因素。它通常会对整个不动产市场产生全面影响,从而成为影响不动产价格的基本因素。一般因素主要包括以下几种。
1.社会因素。
影响不动产价格的社会因素主要有人口状况、社会安定程度、城市化进程和不动产投机等。
(1)人口状况。人口状况对不动产价格的影响具体由人口数量、人口素质和家庭人口构成三方面来反映。人口数量与不动产价格的关系非常紧密,呈正相关,人口增多,对不动产的需求就增加,在供给相对匮乏的情况下,不动产价格水平趋高。特别是在城市,随着外来人口、流动人口的增加,可能刺激商业、服务业等产业的发展,使不动产价格的上涨趋势更为明显。人口素质,包括人民的受教育水平、文明程度等,也有可能引起不动产价格的变化,例如,地区中居民素质低、组成复杂、社会秩序欠佳,该地区不动产价格必然低落。此外,由于传统生活方式的改变及城市化的影响,家庭人口会越来越少。一般而言,随着每个家庭人口平均数的下降,即家庭小型化,则不动产需求增加,不动产价格有上涨趋势。
(2)社会安定程度。一般来说,政局稳定,社会秩序良好,安全感强,投资风险小,人们就愿意投资、购物、居住,从而带动不动产价格上升;反之,则下降。
(3)不动产投机(房地产投机)。在经济学上,投机是指在商业或金融交易中甘冒特殊风险,希望获得特殊利润的行为。投机通常用于那些期望从价格变化中获利的证券、商品和外汇买卖活动。当投机对象是土地及房屋时,就称为不动产投机或房地产投机。不动产投机对不动产价格的影响有三种情况:①引起不动产价格上涨;②引起不动产价格下跌;③起着稳定不动产价格的作用。
(4)城市化进程。城市化发展意味着人口向城市地区集中加快,造成城市土地需求不断扩大,带动城市不动产价格上涨;但公共设施的建设又从成本方面推动不动产价格,从而致使不动产价格上扬。这一因素在城市化还不发达的发展中国家表现得尤为明显。
2.经济因素。
经济情况的演变对国计民生及国际地位有重要的影响,必然也会影响不动产价格。影响不动产价格的经济因素主要有经济发展状况、储蓄和投资水平、居民收入水平、财政和金融状况、物价和利息率等。
(1)经济发展状况。经济发展预示着投资、生产、生活活跃,对住宅、厂房、办公楼、商场和各种文娱设施等的需求不断增加,由此引起不动产价格上涨。如近年来日本、新加坡、韩国和中国台湾、中国香港等国家和地区经济持续高速增长,不动产价格也相应大幅度上涨。
(2)储蓄和投资水平。储蓄水平与投资水平呈正相关,即储蓄增长则投资也相应增长。这是经济学中的“储蓄、投资一致性”原理。一般来讲,一系列储蓄率高的时期往往是超额储蓄累积期;储蓄率在连续较髙的情况下突然转为较低时,则是不动产热潮期,此时不动产价格会飞涨。
(3)财政收支与金融状况。财政金融状况是国家综合经济实力的反映,而货币供给量是财政、金融状况的外在表现。货币供给量增加,则表示市面上的资金增加,即社会闲散资金增加,游资过剩会导致过多的货币,争相购买少数的物品,特别是购置可以保值的不动产,于是造成对不动产的需求增加,促使不动产价格上涨。
(4)物价。通常物价普遍波动,是表明货币购买力的变动,即币值发生变动,而不动产越是物价变动时期越能体现其保值性,因此,一般来说,物价变动对不动产市场的影响呈正相关,即物价上涨,不动产价格也上涨。
(5)利息率。利率水平对不动产价格的影响也较复杂。一般讲,利率的提高,一方面会增加不动产的开发成本,另一方面会减少对不动产的投资需求;反之,则相反。
3.行政因素。
行政因素主要是指国家对不动产价格的干预,包括制度、政策、法规、行政变更等。
(1)制度。主要包括土地制度和住房制度,土地制度对土地价格的影响巨大。例如,在我国传统的土地无偿使用制度下,地租、地价根本不存在;在市场经济条件下,制定科学合理的土地制度和政策,不仅使国家作为土地所有者的利益得到了体现,而且通过市场形成合理的土地使用权价格,大大促进了土地的有效使用。住房制度与土地制度一样,对不动产价格的影响也是很大的。实行福利型的住房制度,必然造成住宅价格的低水平,无法促进供给量的增加,很难形成真正的不动产市场。
(2)不动产价格政策。不动产价格政策抽象来看有两类:一类是高价格政策;一类是低价格政策。所谓高价格政策,一般是指政府对不动产价格放任不管,或有意通过某些措施抬高不动产的价格;低价格政策,一般是指政府采取种种措施抑制不动产价格上涨。因此,高价格政策促进不动产价格上涨,低价格政策造成不动产价格下落。但值得注意的是,低价格政策并不意味着造成不动产价格的绝对水平低下。同理,高价格政策也不意味着不动产价格的绝对水平高。抑制不动产价格的措施是多种多样的,它们影响不动产价格低落的速度和幅度不尽相同。抑制不动产价格的措施主要有:制定最高限价,规定不动产交易时不得突破此价格;制定标准价格,作为不动产交易时的参考;政府在不动产价格高涨时抛出一定量的不动产,以增加不动产的供给,从而平抑不动产的价格;征收不动产交易税或增值税;建立一套不动产交易管理制度。
(3)不动产税收。不动产税收对不动产价格的影响是显而易见的。因为对不动产课税实际上是减少了不动产的收益,因而造成不动产价格低落。但是,不同的不动产课税种类和大小,对不动产价格的影响是不相同的。此外,考虑不动产税收对不动产价格的影响时,必须注意税收的转嫁问题。如果某种不动产税收可以通过某种途径部分或全部转嫁出去,那么对不动产价格的影响变小甚至不起作用。
(4)城市规划。城市规划中的规定用途、容积率、建蔽率、建筑物高度等限制,对不动产价格,尤其是对土地价格有很大影响。
规定用途对地价有两个方面的影响:就某一块土地而言,它会降低地价;但从总体上看,由于有利于土地的健康协调利用,也有提高地价的作用。但是,如果规定用途不妥,缺乏科学的理论和方法,也会导致两败俱伤,既降低单块土地的价格,也会降低整个土地的利用效益,从而使地价下降。从纯理论上分析,规定用途对地价的影响可以从图表4-7中看出:在OA地段如果规定为住宅用途,那么地价就是由住宅地价曲线决定,而不是由商业地价曲线决定;BC地段如果硬性规定为商业用途,此时地价甚低,甚至可能出现负数,因为此地段经营商业会亏本。

容积率是影响地价的最直接最主要的因素之一。就单块土地而言,地价与容积率成正比,即容积率越大,地价越高。因为容积率越大,在同等面积的土地上允许建筑的建筑面积就越多,而某一地点同期的单位建筑面积费用基本上是不变的,所以,由剩余法可知其地价越高。就整个地区来看,规定容积率有改善环境条件的作用,从而带动地价上涨。
建蔽率可以从法律角度强制改善环境条件特别是有利于绿化和提供充足的地面活动空间,从而间接地提高不动产价格。
(5)土地出让方式、出让期限。土地出让方式主要有:协议、招标、拍卖三种。协议出让由于是政府部门对那些要扶持的高科技工业或教育、卫生、慈善、宗教等提供土地的方式,一般会降低地价。招标方式由于不仅考虑报价,而且考虑开发方案,所以通常选定的土地使用者不一定是出价最高者,因此,有抑制地价的作用。但单纯以报价方式投标,有抬高地价的作用。在拍卖情况下,如果土地需求量大,土地由谁取得完全靠报出的地价的高低,所以最能抬高地价。土地出让期限的长短意味着土地使用时间的长短,因而它对地价的影响是显而易见的。
(6)行政变更。可以想象,将某个县级城市升格为地级市、省辖市,无疑会促进这一地区不动产价格的上涨。同样,将原属于某一较落后地区的地方划归另一较发达地区管辖,会促进这一地区不动产价格上涨。相反则导致不动产价格下落。如我国深圳市变为经济特区、海南岛成立海南省并享受特区政策,都使不动产价格上涨。
4.心理因素。
不动产市场的兴衰,不动产价格的涨落和不动产事业的起伏都和人的心理状况有密切联系。人们心理上的认同感、安全感、荣耀感等无一不反映在不动产价格的起落上。具体地讲,影响不动产价格的心理因素有购买或出售心态、欣赏趣味、时尚风气、接近名家住宅心理、讲究风水、价值观念的变化等。
5.国际因素。
国际经济、军事、政治等环境如何,对不动产价格有较大影响。
(1)国际经济状况。国际经济发展良好,一般有利于不动产价格上升。
(2)军事冲突。不动产具有不可移动性,一旦受到战争的破坏,则繁华城市瞬间可化为废墟,因此,当遭受战争或社会动乱,不动产价格会陡然下落,受到战争威胁或影响的地区,不动产价格也有所下降。
(3)政治对立。若发生政治对立,则不免会出现国与国之间实行经济封锁、冻结贷款、终止往来等,这些一般会导致不动产价格下跌。
(4)国际竞争。主要是国与国之间为吸引外资的竞争。竞争激烈时,不动产价格一般较低落。
6.特殊因素。
所谓特殊因素,是指对不动产价格的影响不具备普遍意义的因素。但这些因素有时也足以影响不动产价格。例如,某些不适宜单独开发的小块土地,本来地价应该低下,但拥有人反以居奇的心态,待价而沽,需用人可能为达到基地的完整性以及发挥土地整体利用效益,宁可接受较高的地价;某些重要人物的死亡有时可以左右时局,从而影响不动产价格的涨落;参加土地竞投中的某些单位和个人,由于自身的急迫需要,使得他只求得到土地,从而抬高地价;土地拥有者偶遇资金调度困难,急需现金周转,因此,贱售土地以应急需,这时的成交价多低于正常价格。所有这些都可以看成是特殊因素对地价的影响。
必须指出:有些因素现在看来是特殊因素,但随着时间的推移,地点的不同,可能成为对不动产价格影响具有普遍意义的因素;而有些现在看来具有普遍意义的因素,在某些情况下也可能成为特殊因素。
(二)区域因素
所谓区域因素,是指影响一个城市内部不同功能分区不动产价格的因素。一方面取决于城市不同分区的地理环境,另一方面取决于实现分区功能对地理环境要素的要求。这里从后一角度阐述区域因素。不同性质的区域,如商业区、住宅区、工业区等,其影响不动产价格的区域因素是不同的。
1.商业区。
影响不同商业区不动产价格的区域因素主要有:(1)商业区经营规模、经营种类、聚集程度、竞争状况、繁华程度;(2)商业区腹地(吸引顾客的空间范围)大小、顾客的来源及购买力;(3)商业区内经营者的经营资力、资信、开拓精神f(4)商业区与外界的交通通达程度;(5)区内环境、街道规划设计对顾客购物(附带娱乐)的方便、舒适程度;(6)土地利用控制(如容积率、建筑密度等)状况。
2.住宅区。
影响不同住宅区不动产价格的区域因素主要有:(1)自然景观优美程度、环境清洁程度;(2)距商业中心的远近、与外界的交通通达程度;(3)水、电、燃气、邮政、电讯、防火、垃圾处理等基础设施的配置状况;(4)学校、医疗、公园娱乐等公益设施的配置状况,例如美国学者曾经对1990年波士顿地区的住房价格与附近学校的学生成绩之间的关系进行了研究,表明两者成正相关关系;(5)区内百货商店、粮店、洗理等服务状况;(6)区内街道、绿化等规划设计状况;(7)居民的人口构成、文化素养、治安状况;(8)土地利用控制状况。
3.工业区。
影响不同工业区不动产价格的区域因素主要有:(1)与原料供应及产品外销有关的交通通达程度;(2)雇佣劳动力的成本;(3)水、电、燃气、电讯、防火等基础设施的配置状(4)相关产业的集聚程度;(5)环境污染及管制状况;(6)土地利用控制状况。
(三)个别因素
个别因素是指不动产的个别特性对不动产个别价格的影响因素。它是决定相同区域不动产出现差异价格的依据。它包括土地个别因素和建筑物个别因素两个方面。
1.影响土地价格的个别因素。
不同用途的土地的个别因素并不完全一致,对土地价格影响力较大的个别因素主要有下列几个:
(1)位置。土地位置的优劣直接影响土地使用者的经济效益或生活满足程度。虽然各种经济活动和生活活动对土地位置都有不同要求,但一般情况下,凡接近人们经济活动的核心、要道的通口、行人较多、交通流量较大、有利于商业发展的地带,地价必然高昂;反之,闭塞街巷,郊区僻野,地价必低。城市地价的高低,几乎为位置优劣所控制。
(2)面积。地块面积对地价高低有较大的影响。一般来说,凡土地面积过于狭小而不利于经济使用的地价必低,但在特殊情况下可能会有例外。例如,某地块的存在可能会降低相邻大面积土地的利用价值,于是相邻地块的使用为求其土地得到最佳利用,而不惜以高价取得。
(3)地形地势。地形地势对他价也有重要影响,且主要是通过影响土地的利用价值和建筑成本而影响其地产价格。
(4)地质。主要包括地质构造及土质的建筑力学性质和物理化学性质。地质构造和土质的力学性质决定地基的稳定性和承载力,对城市用地地价影响较大,如在软弱地基上建造髙层建筑,必须进行地基处理,这势必增加建筑费用,从而影响地产价格。而地质的物理化学性质主要影响农用地地价。
(5)水文。主要指江河湖泊等地表水和地下水状况。江河湖泊等水体对居民生活、生产用水、美化环境、改善小气候条件等具有重要的作用。当然地表水体也可能造成洪水危害,地下水位埋深过小,对建筑用地来说会增加施工难度,提高建筑费用,从而影响地价。
(6)形状。土地形状是否整齐,对地价有一定的影响。一般来说,凡土地形状不便于经济使用的土地,地价必然低落。为改善这类土地的利用,多采用土地调整措施。土地经过调整之后,土地利用价值提髙,地价立即随之上涨。与形状直接有关的是地块的长度、宽度及其比例关系,这对商业用地尤为重要,如果宽深比低于普通标准,则随深度增加,价格将递减,此即所谓深度递减法则。
(7)气候。主要包括日照、风向、风速、温度、湿度、降水量、灾害性气候等。对城市用地来说,这些因素直接关系到坏境的舒适程度和居民的身体健康,对农业用地来说,直接影响土地肥力和收成,所以也会影响地产价格。
(8)临街状况。地块临街状况对地价影响很大。临街宽度与深度状况对商业地块的价格影响很大,在宽度一定的条件下,深度过深,超过需要,超过部分土地效用难以发挥;在深度一定的条件下,一般来说宽度增大,土地价格也增加,如宽度与深度适当,则可使地块充分发挥其全面积的效用。街角地处于两条街道交叉或拐角处,具有两面正面长度,对于营业性房产最能发挥效用,从而使土地价格提高,但是街角地必须有一定的范围。但对于居住用不动产来说,街角地对地价的影响则相反。临街地,一面临街,其商用价值低于街角地。袋地深人到街区的腹地,通过巷道与街道相连,从而造成了不利的地理条件,其商用价值较低,但袋地用于住宅建设时,地价有可能大于商用,但仍要看袋地的采光、通风、视野、防火等因素情况。盲地一般指未临接公共道路的宅地,其价格一般较低。
(9)建筑物与土地的组合是否得当。建筑物与土地组合得当,则地价较高,反之亦反。
2.影响建筑物价格的个别因素。
从房屋建筑物个别性看,其影响因素主要有:
(1)建筑构造。建筑物主体结构分为木结构、钢筋混凝土结构、钢筋结构等不同类别。建筑物按其所属类别的不同,价格水平有差异。
(2)房屋装修标准。主要指门窗地板的用料情况,不同类型式样的房屋有不同要求的装修标准。如果房屋的装修标准超过或低于同类房屋标准,则可在原单价的基础上适当升高或降低房屋装修标准增减率。
(3)房屋设备。主要指卫生设备和暖气设备。卫生设备有大小之分,一般包括抽水马桶、瓷面盆,此外,有没有浴缸以及浴缸的用料不同,也会影响到造价。
(4)房屋附属设施。指围墙、栅栏和绿化状况。
(5)地段、层次、朝向增减因素。房屋的地段、层次、朝向对房屋使用价值影响极大,因此在房屋建筑物评估中,对这些因素不容忽视,应在原单价基础上合理确定其增减率。
(6)房屋的折旧和完好程度。当房屋建成以后,不论使用与否,随着时间的延续,都会逐渐发生损耗,时间越长,损耗越大,提取的折旧费就越多。所以,在对房屋进行评估时,必须正确计算折旧。
(7)规摸及高度。建筑物的规模影响单位价格,规模小则单位造价髙;高层建筑由于结构、设备、地基等因素,也将引起造价上升。
(8)用途。住宅、办公楼、商厦、校舍、工业厂房等,由于建筑用途不同,价格水平各异。
此外,还有建筑设计、施工质量、建筑面积、建筑功能及建筑物与环境的协调性等因素也影响到建筑物价格。
第三节不动产的收益法评估
—、基本思路及适用范围
收益法又可称为收益还原法、收益资本化法、收益现值法。它是在估算不动产未来若干年预期纯收益的基础上,以一定的还原利率,将评估对象未来收益还原为评估基准日收益总和的一种方法。以收益法求取的不动产价格通常称为收益价格。收益法的关键是准确估算估价对象所产生的预期净收益、发生时间以及恰当的折现率。
收益法是以求取不动产纯收益为前提条件的估价方法。因此,该方法适用于有收益或有潜在收益的可正常经营用不动产的估价,如商业性的土地、房屋等不动产的经营、租赁。政府机关、学校、寺庙、公园等公益性或特殊用途不动产的估价,一般不适宜用此法。
二、指标的估算
(一)纯收益
纯收益是指归属于不动产的总收益除去各种费用后的收益,一般以年为单位。
1.总收益。
不动产收益可分为实际收益和客观收益。实际收益是指在现状条件下实际取得的收益。由于不同的人或企业的经营能力以及外在不确定因素的影响,经营同样的不动产会有各不相同的实际收益,若以实际收益为基础进行资本化,会得到不一样的结果。因此,不能以实际收益来计算纯收益,不能直接用实际收益来评估。例如,城市商业中心有一待开发空地,无当前收益,同时还必须支付有关税费,纯收益为负值,我们不能因此而否认其价格的存在。客观收益是指排除了不动产实际收益中属于特殊的、偶然的要素后所能得到的一般正常收益,即在正常市场条件下的不动产,用于最佳利用方向上的收益值。只有客观收益才能作为评估的依据。
2.总费用。
总费用指取得该收益所必需的各项支出,也即为创造总收益所必须投人的正常支出。在估价时总费用也应该是客观费用。总费用所应包含的项目随待估不动产的状态不同而有区别。例如,土地租赁中的总费用包括土地税、管理费、维护费等;房地租赁中的总费用包括管理费、维修费、保险费、税金等。若租赁契约规定某些费用由承租方负担,则承租方负担部分就不应作为费用扣除,折旧费、债务及利息支付、与经营无关的特殊成本等,一般不作为费用扣除。
需要指出的是:学术界关于利息、折旧费是否构成总费用的组成部分有着不同的观点。
关于利息,鹿心社主编的《中国地产估价手册》认为,利息是房屋所有者投资建房的成本利息,应在租金中予以补偿,在计算纯收益时应予扣除;而《土地估价理论与方法》(土地估价师资格考试辅导教材)一书认为,房产投资利息应包含在房产收益中,因为房产投资和其他投资一样,均以获取相应的收益为目的,不动产投资收益率高于相应的存款利率,投资者才会选择投资不动产而非将资金存入银行获取利息收入。因此,利息表现为投资收益的一部分。对于贷款资金,投资者需要从投资收益中取出一部分支付贷款利息,对于自有资金,其利息收入构成投资者全部收益的一部分,故不应将利息作为一项费用扣除。
关于折旧费,现行的房地产估价参考书中,都将房屋折旧费作为一项重要的费用构成而在收益中予以扣除,但越来越多的学者逐渐认为在收益法估价时求取贴收益不应扣除折旧费。按照资金的时间价值现值公式,被#现的是资金的本利和,而收益还原法中被资本化的也应是包括房屋折曲在内的不动产的投资资本价值和投资利润之和。若用扣除了建筑物折旧的“纯收益”贴现,将无法还原建筑物本身的价值。
3.纯收益。
纯收益等于总收益减去总费用。在估算纯收益时,根据纯收益在过去、现在、未来的变动情况,以及估价对象的可获收益年限,确定未来(估价时点以后)的净收益流量。估价对象的未来净收益流量可能是每年基本固定不变的,也可能是每年按某个固定的数额(或比率)递增或递减,还可能按其他方式变化。
(二)折现率
折现率是决定评估价格最关键的因素。这是因为评估价格对折现率最为敏感,折现率的每个微小变动,都会使评估价格发生显著改变。这就要求评估人员确定的折现率的精度要远远高于纯收益的精度,评估人员必须具有较髙的评估水平和丰富的经验。
需要指出的是:不动产投资在不同地区、不同时期、不同性质与用途上的投资风险是各不相同的;因此,不动产投资回报率即折现率是一个变量,随市场状况的变化而变化,不存在一个统一不变的折现率。
1.折现率的种类。
运用收益法评估不动产价格,评估对象可以是整个不动产,也可以是其中某一部分,如土地或建筑物。评估对象不同,所选用的折现率也不同。
(1)综合折现率。它是求取不动产整体价格时所应使用的折现率,此时对应的纯收益是整个不动产所产生的纯收益。
(2)土地折现率。它是求取土地价格时所应使用的折现率,此时所对应的纯收益是土地所带来的纯收益,这个纯收益不应包括其他方面带来的纯收益。
(3)建筑物折现率。它是求取单纯建筑物价格时所应使用的折现率,此时对应的纯收益是建筑物本身所产生的纯收益,不包括土地所产生的纯收益。综合折现率、土地折现率、建筑物折现率三者虽有所不同,但又相互联系,存在以下数学关系:

式中:r为综合折现率
rL为土地折现率
rB为建筑物折现率
PL为土地价格
PB为建筑物价格
L为土地价值占不动产价值的比率;B为建筑物价值占不动产价值的比率
2.折现率的估算。
(1)市场提取法(比较法)。该方式是通过在市场上收集多个(一般为三个以上)相同或类似不动产的纯收益、价格等资料,选用相应的公式,反算求出折现率。通常,为了避免偶然性,往往选取多个案例的折现率的平均值,具体可以根据实际情况求其简单算术平均值或加权箅术平均值。这种方法要求市场发育比较充分、交易案例比较多。评估人员必须拥有充裕的资料,并尽可能以与待估不动产情况接近的资料作为参照。
【例1】选择在近斯发生的且种类、等级都与估价对象不动产相似的交易实例,如图表4-8所示:

将其折现率进行简单算术平均即可得到待估不动产的折现率如下:

(2)资本资产定价模型。该模型认为折现率等于无风险利率加风险报酬率。其计算公式如下:

式中:r为折现率
rf为无风险利率
β为投资估价对象不动产的不可分散(系统)风险系数
rm为社会投资平均报酬率或市场利率风险系数根据估价对象所在地区的经济趋势、估价对象的用途等确定。不动产折现率与投资风险的关系,如图表4-9所示:

(3)投资资本结构组合法(band of investment-mortgage and equity components)。此法以购买不动产的抵押贷款的利息率与自有资本(或称权益资本)的收益率,按照资金构成比例进行加权平均求得折现率。其计算公式如下:
r=rmXm+reX(1-m)
式中:广为折现率
rm为抵押贷款利息率
m为抵押贷款占不动产价值的比率
re为自有资本要求的收益率
投资资本结构组合法将购买不动产看作一种投资行为,投资额为不动产价格,投资来源分为抵押贷款和自有资本,投资不动产纯收益分为抵押贷款收益和自有资本收益两部分。
【例2】某不动产纯收益为2000元,购买者自有资金10000元,要求年收益率为12%,抵押贷款的年利率为15%,则:
投资者自有资金年收益额=10000X12%=1200(元)
银行抵押贷款年收益额=2000-1200=800(元)
银行抵押贷款额=800+15%=5333(元)
该不动产价格=自有资金额+抵押贷款额=10000+5333=15333(元)

(4)债务保证率法。该方法最早由盖特(RonaldE.Gettel,1978)提出,其计算公式如下:
r=DCRXrmXm
DCR=NOI/Im
式中:DCR为债务偿还保证率[等于年净收益(NOI)与年债务偿还额(Im)的比值]
rm、m含义同前
【例3】假定某不动产的年净收益为30000元,年抵押贷款的本利偿还额为19000元,则债务偿还保证率如下:

若rm=0.132,m=0.7,则:
r=1.579X0.132X0.7=0.146
(三)收益期限
不动产收益期限指从评估时点开始,其收益能力延续的时间长度,通常以年为单位,一般以其所占土地的出让年限减去已使用年限获取。
三、残余法
纯收益、折现率、收益期限三个指标确定以后,即可根据已知条件,选用第二章收益法中相应计算公式求得不动产价格。如若已知估价对象中土地部分或建筑物部分价值时,则可以利用土地与地上建筑物共同产生的收益来估算建筑物部分或土地部分的价值,此即残余法。其计算公式如下:

式中:A为土地和地上建筑物共同产生的纯收益
PL为土地价值
PB为建筑物价值
从理论上讲,残余法适用于年纯收益持续不变、可获收益无限期的情况。若求建筑物价格,还要求建筑物的用途、使用强度、使用状态等与土地的最佳使用不能严重背离。例如,在建筑物已濒临倒塌,或容积率过低,或租金收入或收益极低,以致房地合一的租金收入难以满足土地对其纯收益的要求时,用残余法估价建筑物市值是比较困难的。由于土地和建筑物各自对不动产收益的贡献、土地折现率和建筑物折现率等都非常难以准确、科学地予以确定,因而残余法在大多数情况下只是一种理论模型,仅适用于能够取得相关参数的处于最有效使用状态的新建筑物。
四、应用举例
【例4】某房地产,在正常使用情况下每年所获得的总收益为20万元,每年所需支出的总费用为12万元,该类房地产的折现率为8.5%。另外,该宗房地产是在政府有偿出让土地使用权的地块上建造的,当时获得的土地使用权年限为五十年,现已使用了六年。求该房地产的收益价格。
由题意知,房地产每年的纯收益,折现率相同,使用年限为有限年,其计算公式如下:


故该房地产的收益价格为91.5万元。
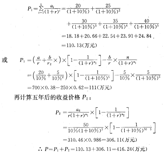
【例5】设某一宗地,使用年限为五十年,前五年土地纯收益分别为20万元、25万元、30万元、35万元、40万元,从第六年起每年的土地纯收益为50万元,若土地折现率每年都保持为10%,求该宗地收益价格。
该题系纯收益若干年(五年)前有变化(纯收益按等差级数递增),若干年后纯收益不变的情形。
将地价分成两部分来计算,先计算前五年的收益价格P1:

故该宗地的收益价格为416.24万元。
【例6】某一用于出租的写字楼,占地面积1000m2,建筑物容积率为2,若每年来自土地的总收益为20万元,总费用为5万元,建筑物折现率为12%,综合折现率为10%,且每年保持不变。假设该房地产極用年限无限期,该建筑物现时价格为150万元,试求:(1)楼面地价;(2)土地折现率。
该题运用收益法的有关公式来计算,有两种思路:

解法一:

解法二:
运用综合折现率公式及土地折现率公式组成方程组

将(2)式代入(1)式得
(PL+150)X10%=(20—5)+150X12%
PL=180(万元)


【例7】某房地产公司于1994年11月以有偿出让方式取得一块土地五十年使用权,并于1996年11月在此地块上建成一座砖混结构的写字楼,当时造价为每平方米2000元,经济耐用年限为五十五年,残值率2%。1998年该类建筑重置价格为每平方米2500元。该建筑物占地面积500平方米,建筑面积为900平方米。在出租期间,每月平均实收租金为3万元。另据调查,当地同类写字楼出租租金一般为每月每建筑平方米50元,空置率为10%,每年需支付的管理费、维修费、土地使用税及房产税、保险费等出租费用为73260元,土地折现率7%,建筑物折现率8%。试根据以上资料评估该宗地1998年11月的土地使用权价格。
计算过程如下:
(1)确定评估方法。该宗房地产有经济收益,适宜采用收益法。
(2)计算总收益。总收益应该为客观收益而不是实际收益。
年总收益=50X12X900X(1-10%)=486000(元)
(3)计算总费用。年总费用已知为73260元。
(4)计算房地产纯收益。
年房地产纯收益=年总收益-年总费用
=486000-73260=412740(元)
(5)计算房屋纯收益。
①计算房屋现值。由于土地使用年限小于房屋耐用年限,而房屋的重置价必须在可使用年限内全部收回,故本例房地产使用者剩余使用年限为四十六年,假定不计残值,视为土地使用权年限届满,一并由政府无偿收回。
房屋现值=房屋重置价X房屋成新率

②计算房屋纯收益。

(6)计算土地纯收益。
土地年纯收益=年房地产纯收益-房屋年纯收益=412740-177653=235087(元)
(7)计算土地使用权价格。
土地使用权在1998年11月的剩余使用年期为四十六年。

(8)评估结果。
本宗土地在1998年11月的土地使用权价格为3275186元,单价为每平方米6550元。
【例8】某砖混结构单层住宅,宅基地200平方米,建筑面积120平方米,月租金2400元,土地折现率为8%,建筑物折现率为10%,建筑物评估时剩余使用年限为二十五年,试用残余法评估该住宅建筑物价格。
(1)年房租收入。
2400X12=28800(元)
(2)年总费用。
房租损失准备费(以半月租金计)=1200(元)
房产税(按年租金的12%)=28800X12%=3456(元)
土地使用税(每年按2元/m^2计)=200X2=400(元)
管理费(按年租金的3%计)=28800X3%=864(元)
修缮费(按年租金的4%计)=28800X4%=1152(元)
保险费=288(元)
年总费用=1200+3456+400+864+1152+288=7360(元)
(3)年总纯收益。
28800-7360=21440(元)
(4)土地的年纯收益。
另运用市场法和成本逼近法等,求得七十年期的土地使用权价格每平方米1000元,则:
土地使用权总价为200X1000=200000(元)
归属土地的年纯收益近似计算为200OOOX8%=16000(元)
(5)归属于建筑物的年纯收益。
21440-16000=5440(元)

第四节不动产的市场法评估
—、市场法基本原理
市场法是不动产估价方法中最常用的基本方法之一,也是目前国内外广泛应用的经典估价方法。市场法的基本含义是:在求取一宗待估不动产价格时,依据替代原理,将待估不动产与类似不动产的近期交易价格进行对照比较,通过对交易情况、交易日期、区域因素和个别因素等修正,得出待估不动产在评估基准日的价格。由市场法估价得到的价格,称为比准价格。
二、市场法适用范围
市场法只要有类似不动产的适合的交易实例即可应用。因此,市场法适用于不动产市场发育程度较好、有较多交易实例发生的地区或不动产类型。像教堂、寺庙、学校、古建筑等很少有交易发生的特殊类型不动产,就不适用于市场法。市场法要求在与估价对象具有替代关系,价格会相互影响的适当空间范围内(或称同一供求圈),有较多的类似不动产交易实例,以便于获取较充分的市场交易信息,通过市场比较,评估出尽可能符合市场行情的估价对象不动产价格。
在不动产市场比较发育,交易实例资料比较丰富的地区,市场法除了可直接用于评估不动产价格外,还可用于其他评估方法中有关参数的求取。例如,可以用市场法先求取在估价对象上拟开发房屋的未来市场租售价,再采用假设开发法估算其土地价格;可用市场法求取估价对象不动产的租金或净收益,再用收益法估算房屋或土地的价格。国外也有用市场法求取成本法中的应扣除折旧额的。
三、市场法操作步骤
(一)收集交易实例
运用市场法进行估价,需要收集并拥有大量翔实的交易实例,以利于掌握市场价格行情,保证估价结果的客观准确性。收集的交易实例内容包括以下几方面。
1.交易双方的情况及交易目的。
交易双方情况包括交易者的名称、性质、法人代表、住址等基本情况,特别是还要说明交易双方是否是在公开市场条件下,进行公平自愿的交易,即属于正常交易还是非正常交易。交易目的是指交易双方为什么而交易,一般包括买卖、入股、抵押、置换等目的。
2.交易实例不动产状况。
一般包括:(1)坐落位置、形状、面积;(2)地质条件及周围的社会文化环境条件;(3)购物及交通等基础设施和公共设施条件;(4)土地利用现状与规划条件;(5)有关建筑物的基本情况;(6)产权状况。
3.成交价格及成交日期。
成交价格包括不动产总价格、房屋总价格、土地总价格、单价、单位面积租金等内容,以及价格类型、价格水平、货币种类及货币单位等情况。有时在成交价格中可能包括家具、营业设备等非不动产财产的价格,需要从中剔除。
4.付款方式。
付款方式包括一次付清、分期付款、抵押贷款、租金支付等方式,对各种方式的付款期限、利率条件、折扣等影响真实价格的因素,都要作尽可能详细的调查记录。
收集不动产交易实例时,估价人员最好针对不同类型不动产,事先制作统一的交易实例调查表格,避免遗漏重要事项的调查,并利于数据库的建立。交易实例调查表的格式,如图表4-10所示:

收集不动产交易实例的主要途径有:(1)査阅政府有关部门关于不动产交易的申报登记资料;(2)査阅各种报刊上关于不动产租售的信息;(3)“假冒”不动产购买者,与不动产经办人和交易当事人洽谈,了解各种信息;(4)通过各类不动产交易展示会,索取资料、掌握信息;(5)同行之间相互提供信息资料;(6)其他途径获取资料。所有渠道获取的交易实例资料,都要进行核实,以保证评估结果的可信性。
(二)选取可比交易实例
可比交易实例即可用作比较参照的交易实例。选取可比实例就是从已收集和积累的大量交易实例中,选取与估价对象不动产条件相同或相似的、成交日期与估价时点相近的、成交价格为正常价格或可修正为正常价格的交易实例。运用市场法估价,应根据估价对象状况和估价目的,从收集的交易实例中选取3个以上的可比实例。如果可比实例少于3个,则其代表性较差,难以客观地反映市场状况,可能造成估价结果出现偏差。
所选取的可比交易实例,应符合下列要求。
1.与估价对象类似的不动产。
具体是指:(1)与估价对象不动产的用途应相同。用途是指不动产的具体利用方式,可按大类和小类划分。大类用途如:商店、办公楼(写字楼)、酒店、旅馆、住宅、工业厂房、仓库等。小类是在大类用途的基础上进一步细分。例如住宅,可细分为普通住宅、髙档公寓、豪华别墅等。(2)与估价对象不动产的建筑结构应相同。这里主要指钢结构、钢筋混凝土结构、砖混结构、砖木结构、简易结构等大类结构。如果能在大类建筑结构下再细分出的小类建筑结构也相同则更好,如砖木结构,进一步可分为砖木一等、二等、三等等。(3)与估价对象不动产所处地段应相同。即可比实例与估价对象不动产应处于具有相同经济、社会、环境特征的同一区域或邻近地区,或处于同一供求圈内或同一级别土地范围内。
2.成交日期与估价对象不动产的估价时点相近。
所选择的可比实例不动产的成交日期距估价时点的间隔越短,在进行交易日期修正时准确性越高。因此,最好选择距估价时点一年内成交的不动产买卖作为可比实例。如果不动产市场相对比较稳定,可适当延长间隔时间,但最长不宜超过两年。
3.成交价格为正常价格或可修正为正常价格。所谓正常价格,是指在公开的不动产交易市场上,交易双方均了解市场信息,以平等自愿的方式达成的交易价格。如果市场上正常的交易实例较少,不得不选择非正常交易实例作为可比实例时,则也可选取交易情况明了且可修正为正常价格的交易实例作为可比实例。
非正常交易是由于交易行为中的某些特殊因素造成的,概括起来主要有:(1)有利害关系人之间的交易。如父子之间、亲友之间、有利害关系的公司之间、公司与其职员之间的不动产交易价格,通常都低于市场价值。(2)急于出售或者急于购买情况下的交易。前者易造成价格偏低,后者则往往偏高。(3)受债权债务关系影响的交易。一般交易价格偏低。(4)交易双方或者一方获取的市场信息不全。如果买方不了解市场行情,盲目购买,则交易价格往往偏高;如果卖方不了解市场行情,盲目出售,则交易价格往往偏低。(5)交易双方或者一方有特别动机或特别偏好的交易。(6)相邻不动产的合并交易。假如买方在购买相邻不动产后,与其原有不动产(面积过小)合并,将增加原有不动产的效用时,相邻不动产拥有者会因此抬高价格,迫使买方以高于正常价格购买。(7)特殊方式的交易。如以拍卖方式成交的价格,一般多高于市场正常价格;政府以招标方式出让土地使用权时,因注重投标方案的整体效用,故招标的成交价格可能偏高,也可能偏低。在拍卖或招标的公告期过短或公告影响范围过小时,成交价格可能会偏低。(8)交易税费非正常负担的交易。如土地增值税本应由卖方负担,但双方却私下协议由买方交纳;交易手续费本应由双方各负担一部分,而实际上却由买方负担;契税本应由买方负担,却协议由卖方交纳等等,这些都会造成交易价格的不正常。
(三)建立价格可比基础
选取可比交易实例后,应对可比实例成交价格的表达方式和内涵进行统一,以便于进行交易情况、交易日期、区域因素、个别因素的修正。所选取的若干个可比实例之间及其与估价对象之间,可能在付款方式、成交单价、货币种类、货币单位、面积内涵和面积单位等方面存在不一致,从而无法进行直接的比较修正,因此,需要对它们的表达方式和内涵进行统一,以便进行比较修正。具体内容包括统一付款方式、统一采用单价、统一货币种类和货币单位、统一面积内涵和面积单位。不同货币种类之间的换算,按照成交时中国人民银行公布的市场汇率中间价计算。
(四)进行交易情况修正
进行交易情况修正,是为了排除可比实例交易行为中的某些特殊因素所造成的成交价格偏差,将其成交价格修正为正常价格。进行交易情况修正的一般步骤如下:(1)测量各特殊因素对不动产交易价格的影响程度,分析比较相对于正常交易情况而言,特殊情况下的不动产交易价格可能产生的偏差大小。测定方法可以利用已掌握的同类型不动产交易资料分析计算,确定修正比例或系数。也可以由估价人员根据长期的实践经验,判断确定修正比例或系数。(2)利用修正系数,修正求得可比实例的正常价格。
(五)进行交易日期修正
即将可比实例在其成交日期时的价格修正到估价时点价格。交易日期修正的方法一般有:(1)采用不动产价格变动率进行修正;(2)利用不动产价格指数进行修正;(3)在无法取得不动产价格指数或变动率的情况下,估价人员可以根据当地不动产价格变动情况和发展趋势,以及自己的经验积累进行判断,加以修正。此外,不动产价格还可以通过分析不动产价格随时间而变动的规律,采用时间序列分析方法,建立不动产价格一时间模型来求取。
(六)进行区域因素修正
区域因素修正,是将可比实例在其外部区域环境下的价格,调整为估价对象的外部区域环境下价格,即将可比实例与估价对象的区域因素进行比较,找出由于区域因素优劣所造成的价格差异,进行调整。区域因素修正的方法主要有两种:(1)直接比较修正法,即以估价对象不动产的各项区域因素状况为基准,与可比实例相对应的区域因素逐项比较,然后确定修正比率。(2)间接比较修正法,即以设定的某标准不动产的各项区域因素为基准,将估价对象和可比实例的区域因素与其相比较,并根据比较结果逐项打分,然后再将分值转化为修正比率。用修正比率乘以可比实例交易价格,即可得到可比实例在估价对象区域环境下的修正价格。
不动产价格区域因素修正的内容主要包括:(1)繁华程度。是指城市中某些职能在空间上的集聚,对企业单位和居民产生吸引力,从而影响不动产收益和利润的程度。商业繁华程度可以从商业的集聚规模和服务等级两方面进行分析。(2)交通便捷程度。是指在空间地域上人们上下班、上学、走亲访友或购物等等往来的可达及便利程度。反映交通便捷程度的因素主要包括道路功能及宽度、道路网密度、公交便捷程度和对外交通设施的分布状况。(3)环境。主要包括自然和人文环境条件及环境质量。环境质量是指区域大气、水、噪声的污染程度。(4)景观。包括人文景观和自然风景。(5)公共设施配套完备程度。包括城市基础设施和社会(生活)服务设施两部分。反映其完备程度的指标主要有设施水平、设施的保证率和齐备程度。(6)城市规划限制。主要包括对用途、建筑容积率、建筑覆盖率、建筑高度等指标的限制性规定。影响不同用途不动产价格的区域因素不同,比较修正时应根据具体情况选择对其价格有影响的主要因素。
(七)进行个别因素修正
个别因素修正,是将可比实例的个别因素状况下的价格,调整为估价对象的个别因素状况下价格,即将可比实例与估价对象的个别因素进行比较,找出由于个别因素优劣所造成的价格差异,进行调整。修正的方法与区域因素修正方法一样,可以直接比较修正,也可以间接比较修正。个别因素修正的内容主要包括:(1)土地个别因素修正。包括面积大小、形状、临街状况、土地平整程度、宗地内的基础设施完备程度、地势、地质水文状况、规划管制条件、土地使用权年限等因素修正;(2)建筑物个别因素修正。包括新旧程度、装修、设施设备、平面布局、工程质量、建筑结构、楼层、朝向等因素修正。年限修正系数如下:
[1—1/(1+r)^m]/[1—1/(1+r)^n]
式中:r为折现率
m为估价对象剩余使用年限
n为可比交易实例在成交日期的剩余使用年限
(八)综合修正
综上所述,运用市场法估价时,需要对交易情况、交易日期、区域因素、个别因素等进行修正,经过综合修正可以求出估价基准日的正常价格,将可比实例的价格修正成待估对象的价格
市场法基本计算公式如下:
P=P'XAXBXCXD
式中:P为待估不动产评估价格
P'为可比实例成交价格
A为交易情况修正系数
B为交易日期修正系数
C为区域因素修正系数
D为个别因素修正系数
实际评估工作中,常用计算公式如下:
P=P'XAXBXCXD

上述式中字符含义同前。具体内容如下:

式中:交易情况修正系数A中的分子100,表示以正常交易情况下的价格为基准而确定可比实例交易情况的价格修正参数
交易日期修正系数B中的分母100,表示以可比实例交易时的价格指数为基准而确定估价基准日的价格指数
区域因素修正系数C中的分子100,表示以待估对象所处的区域环境为基准而确定可比实例所处区域环境的修正系数
个别因素修正系数D中的分子100,表示以待估对象的个别因素条件为基准而确定可比实例个别因素条件的修正系数
市场法的计算公式也可以是:
P= P'XAXBXCXD

式中:P'、A、B含义同前
C和D分别为以可比实例的区域因素条件和个别因素条件为基准而确定待估对象的区域因素和个别因素条件的修正系数如果剩余使用年限单独修正,则计算公式如下:
P=F'XAXBXCXDX剩余使用年限修正系数
在这里需要说明的是:组成区域因素或个别因素中的各个因子都可以独立地扩展出来进行单独修正。
(九)确定比准价格
比准价格是指用比较法评估出的价格。将选取的多个可比交易实例,进行上述各项修正之后,综合考虑确定评估结果。常用的计算综合结果的方法有以下几种。
1.简单算术平均法。
假定可比实例A、B、C经比较修正后的估价时点价格分别为1000元/m^2、1078元/m^2、1100元/m^2,如果认为这三个价格具有同等重要性,则可求得一个综合结果,即评估值=(1000+1078+1100)/3=1059元/m^2。
2.加权算术平均法。
上例中,若认为可比实例C与估价对象房地产的情况最为接近,A次之,B最差,则相应赋予权数为45%、35%、20%,则可求得一综合结果,即评估值=(1000X35%+1078X20%+1100X45%)=1061(元/m^2)。
3.中位数法。
所谓中位数,是指将多个可比实例经修正后的价格数额按大小顺序排列后,将居于数列中间位置的可比实例修正后价格作为评估结果。上例中的三个可比实例的修正后价格按大小顺序排列C、B、A,即1100、1078、1000。位于中间位置上的为1078,则可确定评估值为1080元/m^2。
4.众数法。
它是将各修正结果按某一标准进行排序整理成分布数列,其中出现次数最多的那个结果为众数值,即将该结果确定为评估结果。在房地产估价中,需要选择10个以上的可比实例,才可能用到这种方法确定评估结果,目前采用较少。
市场比较法中交易情况、交易日期、区域因素和个别因素修正,可采用百分率法、差额法或者回归分析法。百分率法是将可比实例与估价对象不动产在某一方面的差异折算为价格差异的百分率来修正可比实例价格的方法。例如,估价对象优于可比实例10%,则确定修正系数为110%;估价对象劣于可比实例10%,则确定修正系数为90%;可比实例优于估价对象10%,则确定修正系数为100/110(90.9%);可比实例劣于估价对象10%,则确定修正系数为100/90(111%)。差额法是将可比实例与估价对象不动产条件的差异所导致的价格差额大小求出来,并在可比实例的价格上直接加上或减去这一数额,而求得估价对象不动产价格的修正方法。例如,可比实例不动产的朝向为面南,成交价格为2500/m^2。估价对象不动产的朝向为面东,而市场上同类型朝南和朝东的差价为500元/m^2,则:估价对象的价格=(2500-500)=2000元/m^2。
四、基准地价修正法
基准地价修正法是将基准地价作为市场比较法中的“可比实例”,然后对基准地价进行交易日期、区域因素、个别因素修正,得到某一宗地价格的评估方法。基准地价水平和基准地价修正系数,应以当地政府公布的标准作为估价依据。例如,某城市的一宗土地,城市规划批准为住宅用地,该宗地的基本情况和修正系数及计算过程,如图表4-11所示。
五、应用举例
【例9】估价对象是某城市的一块空地,城市规划为住宅用地,总面积500平方米。现要评估其在2000年6月28日的市场价值。该类土地交易实例近期在邻近地区发生较多,因而拟选用比较法评估地价。首先收集交易实例,经过分析选出三个可比交易实例,具体情况如图表4-12所示。
【例10】待评地块为一商业用途的空地,面积为600平方米,要求评估其1997年5月的公平市场交易价格。评估人员通过收集有关数据资料(过程略),选出3个交易实例作为比较参照。交易实例有关情况如图表4-13所示:



已知以下条件:
交易情况正常。1996年10月以来,土地价格平均每月上涨1%。折现率为8%。
交易实例A与待估对象处于同一地区,B、C的区域因素修正系数情况可参照图表4-14进行判断:

注:比较标准以待估地块的各区域因素为标准,即待估地块的区域因素分值为100。待估地块面积因素对价格的影响较各交易实例高3%。
1.进行交易情况修正。
从评估人员的调査中发现交易实例的交易没有什么特殊情况,均作为正常交易看待,故无需修正。
2.进行交易时间修正。
交易实例A交易时间修正系数=107/100=1.07
交易实例B交易时间修正系数=105/100=1.05
交易实例C交易时间修正系数=104/100=1.04
3.进行区域因素修正。
交易实例A与待估对象处于同一地区,无需作区域因素调整
交易实例B区域因素修正系数=100/86=1.163
交易实例C区域因素修正系数=100/93=1.075
4.进行个别因素修正。
关于面积因素修正。由于待估对象的面积大于3个交易实例地块,就商业用地而言,面积较大便于充分利用,待估地块面积因素对价格的影响较各交易实例高3%。
土地使用权年限因素修正。除交易实例B与待评估地块的剩余使用年限相同外,交易实例A与实例C均需作使用年限因素修正,修正系数计算如下:

交易实例A的个别修正系数=1.03X0.9659=0.995
交易实例B的个别修正系数=1.03
交易实例C的个别修正系数=1.03X0. 9659=0.995
5.计算待估土地初步价格。
A=1500X1X1.07X1X0.995=1597(元/m^2)
B=1400X15X1.05X1.163X1.03=1761(元/m^2)
C=1450X1X1.04X1.075X0.995=1613(元/m^2)
6.采用算术平均法求得评估结果。

待估地块总价评估值=1657X600=994200(元)
因此,这一地块的评估值为994200元。
第五节不动产的成本法评估
一、成本法基本原理
成本法是不动产评估的基本方法之一。成本法是依据开发或建造待估不动产或类似不动产所需要的各项必要正常费用(包括正常的利润、利息和税费),而评估待估对象价格的方法。用成本法估价求取的价格称为积算价格。其理论基础是:一宗改良地块(improvedpared)的价格为土地价格和改良物残余价值之和。即
不动产市场价格=土地价格+改良物残余价值
改良物残余价值等于重置成本(replacement cost new)即建一同等功能建筑物的成本减去折旧部分。其计算公式如下:
不动产市场价格=土地价格+(改良物重置成本-折旧)
成本法要求对土地价格、折旧及建筑改良物在估价时点的现时成本进行评估。从现时成本中减去折旧得到改良物的评估价格,然后将土地价格加到改良物价格中就得到不动产价格。
一个不动产买主所付出的价格,决不会高于他购买一块空地,并在没有造成严重损失的延误工期的情况下,建筑一具有同等功能的替代建筑物的总代价,这是替代原则在成本法中的体现。价格的确定遵循合理利润最大化原则,以便包括直接和间接成本。市场竞争将利润率限制到合理的水平,这样,当市场处于均衡状态时,新建筑物价格就等于建筑成本(包括相当于资本投资机会成本的合理利润)。
二、成本法适用范围
成本法最适用于折旧较少和建筑成本易于评估的新建筑物评估,它也适用于折旧额能够准确估计的旧建筑物评估,以及市场交易数据资料缺乏的不动产类型评估。比如工业不动产以及特殊用途不动产,就较适宜用此方法。不动产承保价值(不动产保险价值)也适宜用成本法评估。成本法还可用来验证其他评估方法的评估结果。
三、成本法操作步骤
成本法估价步骤如下:(1)收集有关估价对象的邻里环境、宗地特征、建筑改良物成本、税费、开发利润等资料;(2)估算土地价格;(3)估算建筑改良物在全新状态下的重置成本或重建成本;(4)估算建筑改良物的折旧;(5)估算附属改良物的重置成本及折旧;(6)求出不动产价格。
四、土地使用权价格的估算
在我国,由于土地所有权归国家和集体所有,用地者只能购买其使用权,故本书只讲土地使用权价格的评估。
就土地使用权评估而言,成本法一般适用于新开发土地的估价。特别适用于土地市场不发育,土地成交实例不多,或无收益等无法利用市场法和收益法等方法进行评估的土地的估价。如学校、公园、教堂等用地的评估。但由于土地的价格大部分取决于它的效用,并非仅仅是它所花费的成本。也就是说,由于土地成本的增加并不一定会增加它的使用价值,所以成本法在土地估价中的应用范围受到一定限制,也有学者认为成本法不适用于评估地价。
(一)土地使用权价格的成本构成
用成本法评估地价必须分析地价中的成本因素。土地作为一种稀缺的自然物,即使未经开发,但由于土地所有权的垄断,使用土地也必须支付地租。同时,由于开发土地投入的资本及利息也构成地租的一部分,再加上一定的利润、税金和土地增值收益,就构成了土地价格。土地在使用过程中不存在实体性贬值和功能性贬值,经济性贬值也极少考虑,故成本法的基本公式如下:
土地价格=土地取得费+土地开发费+利息+利润+土地增值收益
(二)各项指标的估算
1.计算土地取得费。
土地取得费是为取得土地而向原土地使用者支付的费用,分为两种情况:
(1)国家征用集体土地而支付给农村集体经济组织的费用包括土地补偿费、地上附着物和青苗补偿费及安置补助费等。关于征地费川各项标准,《中华人民共和国土地管理法》第47条明确规定:征用耕地的补偿费用包括土地补偿费、安置补助费以及地上附着物和青苗的补偿费。征用耕地的土地补偿费,为该耕地被征用前三年平均产值的6〜10倍;征用耕地的安置补助费,按照需要安置的农业人口数计算。需要安置的农业人口数,按照被征用的耕地数量除以征地前被征用单位平均每人占有耕地的数量计算。每一个需要安置的农业人口的安置补助费标准,为该耕地被征前三年平均年产值的4〜6倍。但是,每公顷被征用耕地的安置补助费,最高不得超过被征用前三年平均年产值的15倍。征用其他土地的土地补偿费和安置补助费标准,由各省、自治区、直辖市参照征用耕地的土地的土地补偿费和安置补助费的标准规定。被征用土地上的附着物和青苗的补偿标准,由省、自治区、直辖市规定。征用城市郊区的菜地,用地单位应当按照国家有关规定缴纳新菜地开发建设基金。按照以上规定支付土地补偿费和安置补助费,尚不能使需要安置的农民保持原有生活水平的,经省、自治区、直辖市人民政府批准,可以增加安置补助费。但是,土地补偿费和安置补助费标准的总和不得超过土地被征用前三年平均年产值的30倍。在特殊情况下,国务院根据社会经济发展水平,可以提高被征用耕地的土地补偿费和安置补助费标准。
(2)为取得已利用城市土地而向原土地使用者支付的拆迁费用。这是对原城市土地使用者在土地上投资未收回部分的补偿,补偿标准各地均有具体规定。
2.计算土地开发费用。
一般来说,土地开发费用涉及:基础设施配套费、公共事业建设配套费和小区开发配套费。
(1)基础设施配套费。对于基础设施配套常常概括为“三通一平”和“七通一平”。“三通一平”指:通水、通路、通电、平整地面。“七通一平”指:通上水、通下水、通电、通讯、通气、通热、通路,平整地面。作为工业用地,“三通一平”只是最基本的条件,还不能立即上工业项目,只有摘好“七通一平”,项目才能正常运行。因此,作为基础设施配套费用应以“七通一平”为标准计算。
(2)公共事业建设配套费用。主要指邮电、图书馆、学校、公园、绿地等设施的费用。这与项目大小、用地规模有关,各地情况不一,视实际情况而定。
(3)小区开发配套费。同公共事业建设配套费类似,各地根据用地情况确定合理项目标准。
(4)有关税费。
3.计算投资利息。
在土地评估中,投资者贷款需要向银行偿还贷款利息,利息应计入成本;投资者利用自有资金投入,也可以看作损失了利息,属于投资机会成本,也应计入成本。
在用成本法评估土地价格时,投资包括土地取得费和土地开发费两大部分。由于两部分资金的投入时间和占用时间不同,土地取得费在土地开发动工前即要全部付清,在开发完成销售后方能收回,因此,计息期应为整个开发期和销售期。土地开发费在开发过程中逐步投入,销售后收回,若土地开发费是均匀投入,则计息期为开发期的一半。
4.计算投资利润。
该利润计算的关键是确定利润率或投资回报率。利润率计算的基数可以是土地取得费和土地开发费,也可以是开发后土地的地价。计算时,要注意所用利润率的内涵。
5.土地增值收益确定。
土地增值收益主要是由于土地的用途改变或土地功能变化而引起的。由于农地转变为建设用地,新用途的土地收益将远高于原用途土地,必然会带来土地增值收益。由于这种增值是土地所有权人允许改变土地用途带来的,应归整个社会拥有。根据计算公式,前四项之和为成本价格,成本价格乘以土地增值收益率即为土地所有权收益。目前,土地增值收益率通常为10%〜25%。
(三)应用举例
【例11】待估对象为一新开发土地,因无收益记录和市场参照物,只得用成本法进行评估,有关数据资料如下:土地取得费(含拆迁补偿、安置费和耕地占用税等)为8万元/亩,土地开发费1.5亿元/平方公里,当地银行一年期贷款利率9%,两年期贷款利率10%,土地开发周期为两年,第一年投资占总投资的3/4,利润率为10%,当地土地出让增值收益率为10%,试估算该地产的公平市场价值。
(1)计算土地取得费。
土地取得费=8万元/亩=120元/m^2
(2)计算土地开发费。
土地开发费=1.5亿元/平方公里=150元/m^2
(3)计算投资利息。
土地取得费的计息期为两年,土地开发费为分段均匀投入,则:
土地取得费利息=120X10%X2=24(元/m^2)

(4)计算开发利润。
开发利润=[(1)+(2)]X10%=(120+150)X10%=27(元/m^2)
(5)计算土地价格。
土地价格=[(1)+(2)+(3)+(4)]X(1+10%)=(120+150+24+19+27)X(1+10%)=374(元/m^2)
因而,被评估地产的公平市场单价为374元/m2。
五、建筑物价格(改良物残余价值)的估算
建筑物评估中的成本法是基于建筑物的再建造费用或投资的角度来考虑。
通过估算出建筑物在全新状态下的重置成本,再扣减由于各种损耗因素造成的贬值,最后得出建筑物的评估值。建筑物评估中的成本法主要涉及四个基本要素(当然对某一具体建筑物在评估过程中并不一定四个要素都涉及),即建筑物的重置成本、实体有形损耗、功能性贬值和经济性贬值。运用成本法估测建筑物的价格,必须清楚建筑物的价格组成或重置成本构成,这样才能有的放矢地进行估测。
(一)建筑物价格的构成(重置成本构成)
由于建筑物不可能脱离土地而独立存在,它总是建筑在土地之上。因此,这里所列的建筑物价格构成包括了土地部分。当然,这并不妨碍评估人员从中找出属于纯建筑物部分的价格构成。这里之所以将含有土地在内的建筑物价格构成一并列出,目的之一是让评估人员在房地分估时注意关于土地部分不要重复计算,当然也不可漏评。
建筑物价格构成项目及主要内容如下:
1.土地取得费。
土地取得费用属于地价的组成部分,具体是指企业以受让方式取得土地使用权所支付的价款(出让金和有关费用),或企业以划拨方式取得土地使用权所支付的征地拆迁及各种补偿费用。
2.前期工程费。
它包括:(1)规划和可行性研究费,按各地现行定额计算。(2)场地临时用水、电、路和场地平整费,通常按实际工程量估算。(3)测量、勘察、设计费,按定额计算。
3.建筑安装工程费。
它包括:(1)建安工程费。是按建筑安装工程预算定额计算的工程造价,包括定额系数调整和主要建筑材料差价。(2)工程附加支出。包括招投标费、工程预算编制和审计费、质量监督费、竣工质检费等。
4.配套费。
具体指各地对投资建设收取的各项费用,包括供水、供电、供气、通讯、排水、排污、道路、绿化等配套工程费用。
5.建设期利息。
建设期利息要按额定的工期、平均投入资金及适当的贷款利率估算。
6.建设单位管理费。
建设单位管理费通常按建安工程费的一定比例估算。
7.税金。
税金是指在房屋开发建设过程中需交纳的各种税项。
8.利润。
指房屋开发建设企业应得的正常利润。
(二)建筑物重置成本的测算方法
测算建筑物重置成本有许多方法,这里就较常用的方法概要地介绍如下。
1.重编预算法。
此法是按工程预算的编制方法,对待估建筑成本构成项目重新估算其重置成本。具体地说,就是根据待估建筑物工程竣工图纸,或者按评估要求绘制工程图,按照编制工程预算方法,计算工程直接费用,再按现行标准计算间接成本,两者相加后得出建筑物重置成本。此法的数学表达式如下:

就建筑物投入价值的角度来说,用这种方法估算其重置成本,准确性相对比较高。但是,此法所需的技术经济资料较多,而且费时,工作量大。因此,此法的适用范围:(1)测算建筑物更新重置成本。因为此法是以采用新设计、新技术、新材料、新工艺为基础测算,评估思路及所用经济技术参数符合评估更新重置成本的要求;(2)构造比较简单的建筑物,如道路、围墙、设备基础、非标构架等建筑物评估。评估这些建筑物,重编预算法的工作量不会太大。
2.预决算调整法。
此法是以待估建筑物决算中的工程量为基础,按现行工程预算价格、费率将其调整为按现价计算的建筑工程造价,再加上间接成本,估算出建筑物重置成本。运用这种方法不需要对工程量进行重新计算,它是以建筑物原工程量是合理的为假设前提。所以只需对建筑物预算价格及费率用评估基准日时的标准取代建筑物购建时的标准,计算出调整后的工程决算造价,再加上按评估基准日现行标准计算的间接成本即可。
这种方法相对于重编预算法效率更高一些。但是,此法要求委托方必须能够提供比较完整的建筑物工程预决算资料。这种方法主要适用于:(1)不宜采用价格指数调整法,以及因缺乏参照物而无法运用类比法的建筑物评估;(2)用途结构大致相同相似,且数量较多的建筑物评估。这样可以通过选择若干有代表性的典型建筑物按此法评估得出其重置成本,然后以估测出的典型建筑物的重置成本与该建筑物原决算价格比较求出一个调整系数推算其他相同相似建筑物重置成本。当然也可以采用预决算调整法测算出的典型建筑物的重置成本,通过典型建筑物与其他相同、相似建筑物进行类比分析,在典型建筑物重置成本的基础上,调整差异,推算出其他建筑物的重置成本。预决算调整法的基本步骤如下:(1)取得完整的工程竣工决算、竣工图及竣工验收文件等资料,根据分项分部工程项目按基准日的工程预算价格、材料市场价格、间接费率等计算出建筑物的工程造价;(2)根据国家和地方规定的税费标准和实际情况计算出间接成本;将估算出的建筑物工程造价加上间接成本,作为建筑物的重置成本。
3.价格指数调整法。
此法是指根据待估建筑物的账面成本,运用建筑业产值价格指数或其他相关价格指数推算出建筑物重置成本的一种方法。价格指数法由于方法本身的缘故,在推算待估建筑物重置成本的准确性方面略显不足。因此,应尽量控制此法的使用范围。对于大型、价髙的建筑物一般不宜采用此法。此法一般只限使用于单位价值小、结构简单,以及运用其他方法有困难的建筑物的重置成本估算。另外,待估建筑物账而成本不清、不实的,也不宜采用此法。价格指数法能否运用好,除了委托方要提供可靠的待估建筑物账面成本外,关键在于价格指数的选择和价格变动指数的计算上。对于价格指数的选择,可参考建筑业产值价格指数,该指数基本上能反映出建筑产品价格变化的趋势。而价格变动指数的计算则要注意所选择的价格指数在所选期间每年公布的是定基价格指数,还是环比价格指数。不同性质的价格指数,在计算价格变动指数时方法有所不同。
(1)对于定基价格指数,在计算价格变动指数时应按:

(2)对于环比价格指数,在计算价格变动指数时应按:

式中:x为价格变动指数
a为从建筑物竣工年度后第一年至评估基准日年度的各年环比价格指数
价格指数调整法用数学式表达如下:
重置成本=账面原值X价格变动指数
【例12】某企业一简易仓库,账面价值为20万元,建筑面积为1000平方米,竣工于1990年年底。要求估算1995年年底该仓库的重置成本。
经査询,企业所在地区建筑业产值价格环比指数分别为:
1991年111.7%
1992年117%
1993年130.5%
1994年106.9%
1995年104.8%
①算价格变动指数:
X=111.7%X117%X130.5%X106.9%X104.8%=191%
②估算仓库重置成本:
重置成本=200000X191%=382000(元)
(三)建筑物有形损耗率及建筑物实体成新率的测算
建筑物有形损耗率和建筑物实体成新率的测算主要采用使用年限法和打分法。
1.使用年限法。
使用年限法是指利用建筑物的实际已使用年限占建筑物耐用年限的比率作为建筑物有形损耗率。其计算公式如下:

运用使用年限法的关键在于:测定一个较为合理的建筑物尚可使用年限。关于各类建筑物的耐用年限,目前国家尚无统一的标准,这对估测建筑物的尚可使用年限不能不说是一种困难。这就要求评估人员需要有相当丰富的实践经验,结合国家以前曾制定过的固定资产折旧年限等数据,根据待评建筑物的实际状态和维修保养状况;估算待评建筑物的尚可使用年限。
2.打分法。
打分法是指评估人员借助于建筑物成新率的评分标准,包括建筑物整体成新率评分标准,以及按不同构成部分的评分标准进行对照打分,得出或汇总得出建筑物的成新率。
建筑物成新率评分标准可参考和借鉴原城乡建设环境保护部于1984年11月8日颁发的《房屋完损等级评定标准》。根据上述标准,按房屋的结构、装修、设备等组成部分的完好程度,划分为五个等级。
(1)完好房。指成新率在80%以上的房屋。房屋的结构、构件、裝修、设备齐全完好,成色新,使用良好。
(2)基本完好房。指成新率在60%〜79%之间的房屋。房屋的结构、构件、装修、设备基本完好,成色略旧,并有少量或微量损坏,基本能正常使用。
(3)—般损坏房。指成新率在40%〜59%之间的房屋。房屋的结构、构件、装修、设备有部分损坏或变形、老化,需进行中、大修理。
(4)严重损坏房。指成新率在39%以下的房屋。房屋的结构、构件、装修、设备有明显的损坏和变形,并且不齐全,需进行大修或翻建。
(5)危房。房屋的结构、构件已处危险状态,随时有倒塌的可能。
从理论上讲,按房屋的结构、装修、设备等方面的完损程度综合确定建筑物的成新率,比单一按建筑物使用年限测算成新率更合理一些。但采用打分法的关键问题是:(1)打分标准是否科学合理。以《房屋完损等级评定标准》看,它是以房屋的经济寿命为根据设计的房屋正常使用年限及其成新率。这要比房屋建筑物的自然寿命或技术寿命短。因此,它所反映的房屋损失率是有一定误差的。评估人员在参照该标准进行建筑物有形损耗率或成新率评估时应注意使用。(2)评估人员对打分标准掌握和运用的水平如何。打分标准是固定的,而待估建筑物情况却是多样性的。在一般情况下,评估人员及评估机构都要在统一打分标准基础上,根据实际情况,制订不同类型建筑物成新率评分修正系数,作为按统一打分标准评分后的进一步调整和修正。
房屋建筑物完损等级评定一般也是按房屋的结构、装修和设备三个部分分别规定标准,并具体规定评定的部位内容。《房屋完损等级评定标准》如图表4-15、4-16所示:


不同类型房屋成新率的评分修正系数表,如图表4-17所示(仅供参考):

用打分法估测建筑物的成新率可参照下列数学式进行:

式中:G为结构部分的评分修正系数
S为装修部分的评分修正系数
B为设备部分的评分修正系数
【例13】某钢筋混凝土5层框架楼房,经评估人员现场打分,结构部分得分为80分,装修部分得分为70分,设备部分得分为60分。经查修正系数G=0.75,S=0.12,B=0.13,则该楼房的成新率如下:

(四)建筑物功能性值的分析测算
建筑物功能性贬值是指由于建筑物用途、使用强度、设计、结构、装修、设备配备等不合理造成的建筑物功能不足或浪费形成的价值损失。
建筑物用途与使用强度不合理是相对于其所占用的土地的最佳使用而言的。如果出现了建筑物用途及使用强度与其占用土地的最佳使用不一致的时候,土地的最佳效用没有发挥出来,土地的价值就没有得到充分实现。但是,在资产评估中,土地使用权的评估通常是按其最佳用途为依据进行的,对土地与建筑物用途不协调所造成的价值损失一般以建筑物的功能性贬值体现。有时当建筑物的用途、使用强度等与其占用的土地的最佳使用严重冲突的时候,甚至可能出现建筑物的功能性贬值超过了它的剩余的价值。例如,繁华商业区内的低矮非商业用建筑物的功能性贬值可能就会很大,以至于出现建筑物部分的价值为负值,即建筑物不仅没有价值,反而由于拆迁还要扣减土地使用权的一部分价值。关于建筑物用途及使用强度与其占用土地最佳使用不一致、不协调形成的功能性贬值的量,从理论上讲,相当于建筑物所占用土地的现实用途与其最佳使用之间的价值差。当然在具体测算建筑物由于用途、使用强度形成的功能性贬值时,还要考虑建筑物是连同土地一并评估,即房地合一评估,还是房地分估合一,再来分析判定其功能性贬值。
建筑物的设计以及结构上的缺陷,将导致建筑物不能充分发挥其应有的功能和最大限度发挥其效用。不合理的设计及结构可能出现建筑物面积较大,而有效使用面积却与建筑面积不成比例,从而影响了建筑物的有效利用。建筑物有效使用面积与其建筑面积的比例,低于正常建筑物有效使用面积与其建筑面积的比例部分所形成的价值损失,是建筑物功能性贬值的表现。
建筑物的装修、设备与其总体功能的不协调,也会造成建筑物的功能性贬值。尤其是建筑物豪华装修和设备超标准安装使用,在建筑物使用价值增加不明显的情况下,往往形成建筑物局部功能浪费,其部分价值无法实现。
无论是哪种原因形成的建筑物功能性贬值,在测算过程中都要与建筑物重置成本测算以及成新率测算一并统筹考虑,避免重复考虑和漏评现象出现。
(五)建筑物经济性贬值的分析测算
建筑物经济性距值是指由于外界条件的变化而影响了建筑物效用的发挥,导致其价值败损。从现象上看,建筑物出现经济性贬值,一般都伴随着利用率下降,如商业用房的空房率增加,出租面积减少;工业用房大量闲置等。从建筑物出现经济性贬值所造成的后果看,最终都会导致建筑物的收益下降。所以,在测算建筑物经济性贬值时,可参照下列公式进行:
经济性贬值=建筑物年收益净损失额/正常资产收益率

式中:Ri为第i年的建筑物年收益净损失额
r为折现率
n为预计建筑物收益损失持续的时间(通常以年为单位)
(六)应用举例
【例14】估价对象为某学校教学楼,坐落在市中心,占地面积为800平方米,建筑总面积为2400平方米,建筑物建于1983年7月,为钢筋混凝土结构。要求评估该宗不动产2000年7月的市场价格。
1.采用房地分估合一的评估思路。
由于估价对象是学校教学楼,无直接收益,也很少有买卖实例,建筑物部分拟采用成本法进行评估。
2.估测土地资产的市场价格。
土地部分的评估可采用市场比较法、成本法等方法进行,具体评估过程略,评估结果假定每平方米为1280元,土地总价格为1024000元。
3.估算建筑物的重置成本。
经过市场调査表明,当地商业类建筑物的建筑造价为1150元/m2(不包括土地价格,包括装修费),以此确定该建筑物每平方米重置成本为1100元(含合理利润、税费等),建筑物重置成本总额为2640000元。
4.估算建筑物有形损耗率。
评估人员经现场勘察,并查阅了国家有关部门对钢筋混凝土结构建筑物耐用年限的有关指导性规定和标准,认为该教学楼尚可使用六十年。采用使用年限法计算建筑物的有形损耗率如下:

该建筑物的有形损耗率为22%。
5.估算建筑物的功能性贬值和经济性贬值。
由于待估对象为教学楼,待产权变动后要用于商业用途,而且待估不动产中的土地价格也是按商业用途寻找参照交易实例,采用市场比较法评估得出的。待估建筑物的内部格局在某些方面不适宜直接用于商业用途,需作内部格局的重新布置和装修,估计建筑物内部格局重新布置和装修的费用约200元/m^2,总费用为480000元。该建筑物不存在经济性贬值。
6.建筑物评估值。
建筑物评估值=重置成本-重置成本X有形损耗率-功能性贬值=2640000X(1-22%)-480000
=1579200(元)
7.计算不动产评估值。
该教学楼评估值=土地价格评估值+建筑物评估值
=1024000+1579200=2603200(元)